Suppr超能文献

形态学和分子分析 与 之间的相互作用。

Morphological and Molecular Analyses of the Interaction between and .

机构信息

Key Laboratory of Horticultural Plant Biology of Ministry of Education, College of Horticulture and Forestry Sciences, Huazhong Agricultural University, Wuhan 430070, China.

Department of Life Science, Tangshan Normal University, Tangshan 063000, China.

出版信息

Genes (Basel). 2022 Jun 2;13(6):1003. doi: 10.3390/genes13061003.

Abstract

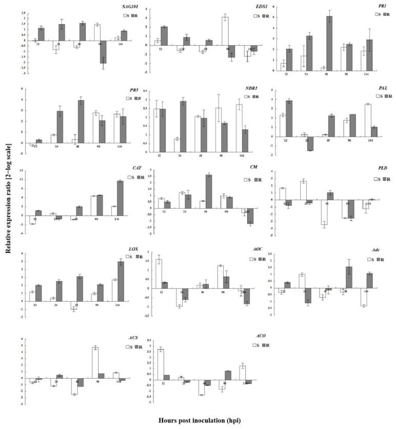
Powdery mildew disease caused by is the most widespread disease in global cut-rose production, as well as a major disease in garden and pot roses. In this study, the powdery mildew resistance of different wild rose varieties was evaluated. Rose varieties with high resistance and high sensitivity were used for cytological observation and transcriptome and expression profile analyses to study changes at the morphological and molecular levels during the interaction between and . There were significant differences in powdery mildew resistance among three plants; '13' had high resistance, while '4' and '1' had high susceptibility. Cytological observations showed that in susceptible plants, 96 and 144 h after inoculation, hyphae were observed in infected leaves; hyphae infected the leaf tissue through the stoma of the lower epidermis, while papillae were formed on the upper epidermis of susceptible leaf tissue. Gene ontology enrichment analysis showed that the differentially expressed genes that were significantly enriched in biological process functions were related to the secondary metabolic process, the most significantly enriched cellular component function was cell wall, and the most significantly enriched molecular function was chitin binding. Changes in the transcript levels of important defense-related genes were analyzed. The results showed that may have played an important role in the interactions between resistant and . Jasmonic acid and ethylene (JA/ET) signaling pathways might be triggered in the interaction between susceptible and . In the resistant , the salicylic acid (SA) signaling pathway was induced earlier. Between susceptible plants and resistant plants, key phenylpropanoid pathway genes were induced and upregulated after inoculation, demonstrating that the phenylpropanoid pathway and secondary metabolites may play important and active roles in defense against powdery mildew infection.

摘要

白粉病是由引起的,是全球切花玫瑰生产中最广泛的病害,也是花园和盆栽玫瑰的主要病害。本研究评价了不同野生玫瑰品种的白粉病抗性。选用高抗和高感的玫瑰品种进行细胞学观察和转录组及表达谱分析,研究在与互作过程中形态和分子水平的变化。3 种野生玫瑰植物的白粉病抗性存在显著差异;‘13’高抗,而‘4’和‘1’高感。细胞学观察表明,接种后 96 和 144 h,在感病叶片中观察到菌丝;菌丝通过下表皮的气孔感染叶片组织,而感病叶片组织的上表皮形成乳突。基因本体富集分析表明,在生物过程功能中显著富集的差异表达基因与次生代谢过程有关,最显著富集的细胞成分功能是细胞壁,最显著富集的分子功能是几丁质结合。分析了重要防御相关基因转录水平的变化。结果表明,在抗性和感病之间的互作中,可能发挥了重要作用。茉莉酸和乙烯(JA/ET)信号通路可能在感病和之间的互作中被触发。在抗性中,水杨酸(SA)信号通路更早被诱导。在感病植物和抗性植物之间,接种后苯丙烷途径关键基因被诱导和上调,表明苯丙烷途径和次生代谢物可能在玫瑰对白粉病的防御中发挥重要和积极的作用。

https://cdn.ncbi.nlm.nih.gov/pmc/blobs/0369/9222267/b09c9ae82c2d/genes-13-01003-g001.jpg

文献AI研究员

20分钟写一篇综述,助力文献阅读效率提升50倍。

立即体验

用中文搜PubMed

大模型驱动的PubMed中文搜索引擎

马上搜索

文档翻译

学术文献翻译模型,支持多种主流文档格式。

立即体验