Suppr超能文献

ABCA1 激动剂 CS-6253 对食蟹猴淀粉样蛋白-β和脂蛋白代谢的影响。

Effect of the ABCA1 agonist CS-6253 on amyloid-β and lipoprotein metabolism in cynomolgus monkeys.

机构信息

Departments of Medicine and Neurology, University of Southern California, Los Angeles, CA, 90033, USA.

Artery Therapeutics, Inc., San Ramon, CA, 94583, USA.

出版信息

Alzheimers Res Ther. 2022 Jun 24;14(1):87. doi: 10.1186/s13195-022-01028-1.

Abstract

BACKGROUND

Inducing brain ATP-binding cassette 1 (ABCA1) activity in Alzheimer's disease (AD) mouse models is associated with improvement in AD pathology. The purpose of this study was to investigate the effects of the ABCA1 agonist peptide CS-6253 on amyloid-β peptides (Aβ) and lipoproteins in plasma and cerebrospinal fluid (CSF) of cynomolgus monkeys, a species with amyloid and lipoprotein metabolism similar to humans.

METHODS

CS-6253 peptide was injected intravenously into cynomolgus monkeys at various doses in three different studies. Plasma and CSF samples were collected at several time points before and after treatment. Levels of cholesterol, triglyceride (TG), lipoprotein particles, apolipoproteins, and Aβ were measured using ELISA, ion-mobility analysis, and asymmetric-flow field-flow fractionation (AF4). The relationship between the change in levels of these biomarkers was analyzed using multiple linear regression models and linear mixed-effects models.

RESULTS

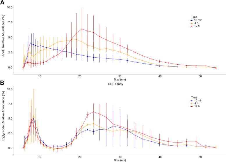
Following CS-6253 intravenous injection, within minutes, small plasma high-density lipoprotein (HDL) particles were increased. In two independent experiments, plasma TG, apolipoprotein E (apoE), and Aβ42/40 ratio were transiently increased following CS-6253 intravenous injection. This change was associated with a non-significant decrease in CSF Aβ42. Both plasma total cholesterol and HDL-cholesterol levels were reduced following treatment. AF4 fractionation revealed that CS-6253 treatment displaced apoE from HDL to intermediate-density- and low density-lipoprotein (IDL/LDL)-sized particles in plasma. In contrast to plasma, CS-6253 had no effect on the assessed CSF apolipoproteins or lipids.

CONCLUSIONS

Treatment with the ABCA1 agonist CS-6253 appears to favor Aβ clearance from the brain.

摘要

背景

在阿尔茨海默病(AD)小鼠模型中诱导脑三磷酸腺苷结合盒转运体 1(ABCA1)的活性与 AD 病理的改善有关。本研究的目的是研究 ABCA1 激动肽 CS-6253 对食蟹猴(与人类具有相似的淀粉样蛋白和脂蛋白代谢的物种)的血浆和脑脊液(CSF)中的淀粉样β肽(Aβ)和脂蛋白的影响。

方法

在三项不同的研究中,CS-6253 肽以不同剂量静脉注射入食蟹猴体内。在治疗前后的几个时间点采集血浆和 CSF 样本。使用 ELISA、离子迁移分析和不对称流场流分离(AF4)测量胆固醇、甘油三酯(TG)、脂蛋白颗粒、载脂蛋白和 Aβ的水平。使用多元线性回归模型和线性混合效应模型分析这些生物标志物水平变化之间的关系。

结果

CS-6253 静脉注射后,几分钟内,小的血浆高密度脂蛋白(HDL)颗粒增加。在两项独立的实验中,CS-6253 静脉注射后,血浆 TG、载脂蛋白 E(apoE)和 Aβ42/40 比值短暂升高。这种变化与 CSF Aβ42 的非显著性降低有关。治疗后,血浆总胆固醇和 HDL-胆固醇水平均降低。AF4 分级分离显示,CS-6253 处理将 apoE 从 HDL 转移到血浆中的中密度和低密度脂蛋白(IDL/LDL)大小的颗粒。与血浆相反,CS-6253 对评估的 CSF 载脂蛋白或脂质没有影响。

结论

ABCA1 激动剂 CS-6253 的治疗似乎有利于 Aβ 从大脑中清除。

https://cdn.ncbi.nlm.nih.gov/pmc/blobs/793f/9229758/b0e52ea3788a/13195_2022_1028_Fig1_HTML.jpg

文献AI研究员

20分钟写一篇综述,助力文献阅读效率提升50倍。

立即体验

用中文搜PubMed

大模型驱动的PubMed中文搜索引擎

马上搜索

文档翻译

学术文献翻译模型,支持多种主流文档格式。

立即体验