Suppr超能文献

联合应用 ErbB 受体抑制剂和 Hh 信号通路抑制剂在体外和体内均可更有效地抑制恶性间皮瘤的生长,优于单一治疗。

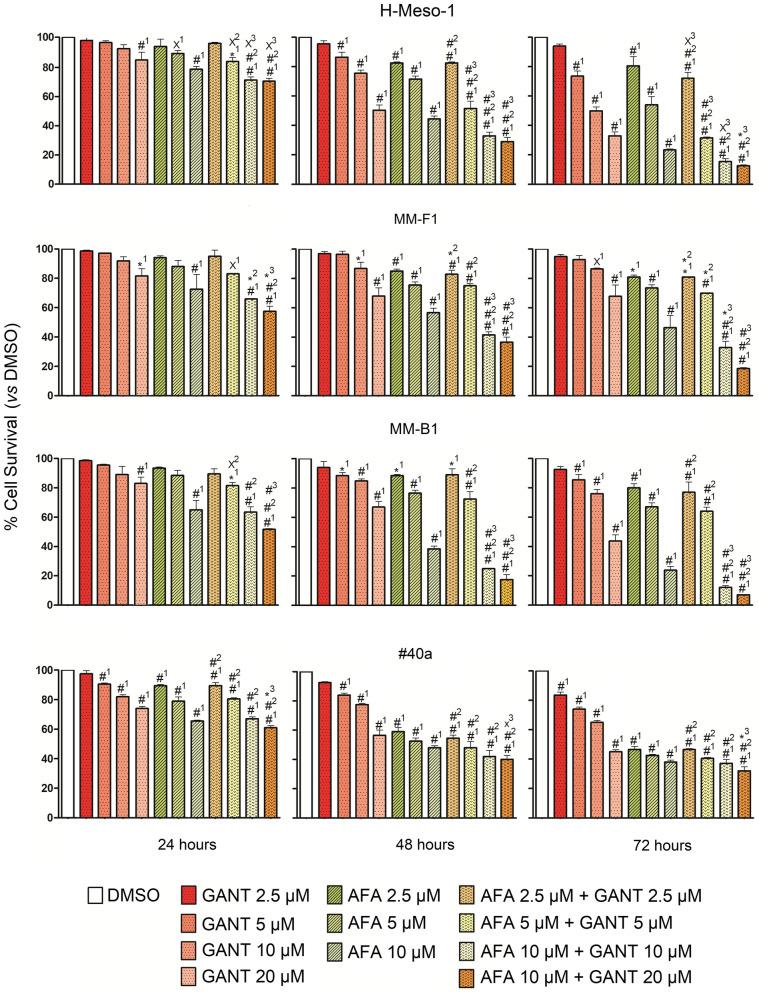
Combined treatment with inhibitors of ErbB Receptors and Hh signaling pathways is more effective than single treatment in reducing the growth of malignant mesothelioma both in vitro and in vivo.

机构信息

Department of Clinical Sciences and Translational Medicine, University of Rome "Tor Vergata", via Montpellier 1, 00133, Rome, Italy.

Saint Camillus International University of Health and Medical Sciences, via di Sant'Alessandro 8, 00131, Rome, Italy.

出版信息

J Transl Med. 2022 Jun 25;20(1):286. doi: 10.1186/s12967-022-03490-9.

Abstract

Malignant mesothelioma (MM) is a rare orphan aggressive neoplasia with low survival rates. Among the other signaling pathways, ErbB receptors and Hh signaling are deregulated in MM. Thus, molecules involved in these signaling pathways could be used for targeted therapy approaches. The aim of this study was to evaluate the effects of inhibitors of Hh- (GANT-61) and ErbB receptors (Afatinib)-mediated signaling pathways, when used alone or in combination, on growth, cell cycle, cell death and autophagy, modulation of molecules involved in transduction pathways, in three human MM cell lines of different histotypes. The efficacy of the combined treatment was also evaluated in a murine epithelioid MM cell line both in vitro and in vivo. This study demonstrated that combined treatment with two inhibitors counteracting the activation of two different signaling pathways involved in neoplastic transformation and progression, such as those activated by ErbB and Hh signaling, is more effective than the single treatments in reducing MM growth in vitro and in vivo. This study may have clinical implications for the development of targeted therapy approaches for MM.

摘要

恶性间皮瘤(MM)是一种罕见的孤儿侵袭性肿瘤,存活率低。在其他信号通路中,ErbB 受体和 Hh 信号通路在 MM 中失调。因此,这些信号通路中涉及的分子可用于靶向治疗方法。本研究旨在评估 Hh (GANT-61)和 ErbB 受体(阿法替尼)介导的信号通路抑制剂单独或联合使用时对三种不同组织型的人 MM 细胞系的生长、细胞周期、细胞死亡和自噬的影响,以及对参与转导途径的分子的调节。还在体外和体内评估了联合治疗对鼠上皮样 MM 细胞系的疗效。这项研究表明,联合使用两种抑制剂可以对抗两种不同的信号通路的激活,这些信号通路涉及肿瘤转化和进展,如 ErbB 和 Hh 信号通路的激活,比单独治疗更能有效减少 MM 的体外和体内生长。这项研究可能对 MM 的靶向治疗方法的发展具有临床意义。

https://cdn.ncbi.nlm.nih.gov/pmc/blobs/a58d/9233819/0c2f0843dcbd/12967_2022_3490_Fig1_HTML.jpg

文献AI研究员

20分钟写一篇综述,助力文献阅读效率提升50倍。

立即体验

用中文搜PubMed

大模型驱动的PubMed中文搜索引擎

马上搜索

文档翻译

学术文献翻译模型,支持多种主流文档格式。

立即体验