Suppr超能文献

植物性饮食与社区居住的老年人虚弱风险:Seniors-ENRICA-1 队列研究。

Plant-based diets and risk of frailty in community-dwelling older adults: the Seniors-ENRICA-1 cohort.

机构信息

Department of Preventive Medicine and Public Health, School of Medicine, Universidad Autónoma de Madrid and IdiPaz (Instituto de Investigación Sanitaria Hospital Universitario La Paz), Calle del Arzobispo Morcillo, 4, 28029, Madrid, Spain.

CIBERESP (CIBER of Epidemiology and Public Health), Av. Monforte de Lemos, 3-5, 28029, Madrid, Spain.

出版信息

Geroscience. 2023 Feb;45(1):221-232. doi: 10.1007/s11357-022-00614-3. Epub 2022 Jul 4.

Abstract

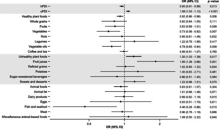
Frailty is a geriatric syndrome that leads to increased risk of hospitalization, disability, and death. The effect of plant-based diets defined by the quality of their plant foods is unclear. Our objective is to study the association between two plant-based diet indices and the occurrence of frailty among community-dwelling older adults in Spain. We analyzed data from 1880 individuals aged ≥ 60 years from the Spanish Seniors ENRICA-1 cohort. We used a validated diet history to build two indices: (a) the healthful Plant-based Diet Index (hPDI) where healthy plant foods received positive scores, whereas less-healthy plant foods and animal foods received reverse scores; and (b) the unhealthful Plant-based Diet Index (uPDI), with positive scores to less-healthy plant foods and reverse scores to animal and healthy plant foods. Incident frailty was defined with the Fried phenotype. Study associations were summarized with odds ratios (OR) and 95% confidence intervals (CI) obtained from multivariable logistic models. After 3.3 years of follow-up, 136 incident frailty cases were ascertained. Comparing the highest vs. the lowest tertile of adherence, the OR [95% CI] for frailty was 0.43 (0.25-0.74; p-trend = .003) for the hPDI, and 2.89 (1.73-4.84; p-trend < .001) for the uPDI. Higher consumption of healthy plant foods was inversely associated with frailty (0.39 [0.23-0.66; p-trend < 0.001]); higher consumption of unhealthy plant foods was associated with higher frailty risk (2.40 [1.23-4.71; p-trend = .01]). In older adults, the hPDI was associated with lower risk of frailty, while the opposite was found for the uPDI.

摘要

衰弱是一种老年综合征,会导致住院、残疾和死亡的风险增加。以植物性食物质量定义的植物性饮食的影响尚不清楚。我们的目的是研究两种植物性饮食指数与西班牙社区居住的老年人衰弱发生之间的关联。我们分析了西班牙老年人 ENRICA-1 队列中 1880 名年龄≥60 岁的个体的数据。我们使用经过验证的饮食史来构建两个指数:(a)健康植物性饮食指数(hPDI),其中健康植物性食物获得正分,而不太健康的植物性食物和动物性食物获得负分;(b)不健康的植物性饮食指数(uPDI),其中不太健康的植物性食物获得正分,动物性食物和健康植物性食物获得负分。衰弱的发生通过 Fried 表型定义。使用多变量逻辑模型获得的比值比(OR)和 95%置信区间(CI)总结研究关联。在 3.3 年的随访后,确定了 136 例衰弱事件。与最高与最低三分位的依从性相比,hPDI 的 OR[95%CI]为 0.43(0.25-0.74;p 趋势=0.003),uPDI 的 OR[95%CI]为 2.89(1.73-4.84;p 趋势<0.001)。健康植物性食物摄入量较高与衰弱呈负相关(0.39 [0.23-0.66;p 趋势<0.001]);不健康植物性食物摄入量较高与衰弱风险增加相关(2.40 [1.23-4.71;p 趋势=0.01])。在老年人中,hPDI 与衰弱风险降低相关,而 uPDI 则相反。

https://cdn.ncbi.nlm.nih.gov/pmc/blobs/dfa3/9886709/b607462fcf32/11357_2022_614_Fig1_HTML.jpg

文献AI研究员

20分钟写一篇综述,助力文献阅读效率提升50倍。

立即体验

用中文搜PubMed

大模型驱动的PubMed中文搜索引擎

马上搜索

文档翻译

学术文献翻译模型,支持多种主流文档格式。

立即体验