Suppr超能文献

通过不对称氢甲酰化构建季碳手性中心:一种制备手性α-季碳氨基酸的直接方法。

Construction of a quaternary stereogenic center by asymmetric hydroformylation: a straightforward method to prepare chiral α-quaternary amino acids.

作者信息

Zhang Dequan, Wen Jialin, Zhang Xumu

机构信息

Department of Chemistry, Guangdong Provincial Key Laboratory of Catalysis, Southern University of Science and Technology Shenzhen 518055 China

Academy for Advanced Interdisciplinary Studies, Southern University of Science and Technology Shenzhen 518055 China

出版信息

Chem Sci. 2022 Jun 6;13(24):7215-7223. doi: 10.1039/d2sc02139k. eCollection 2022 Jun 22.

Abstract

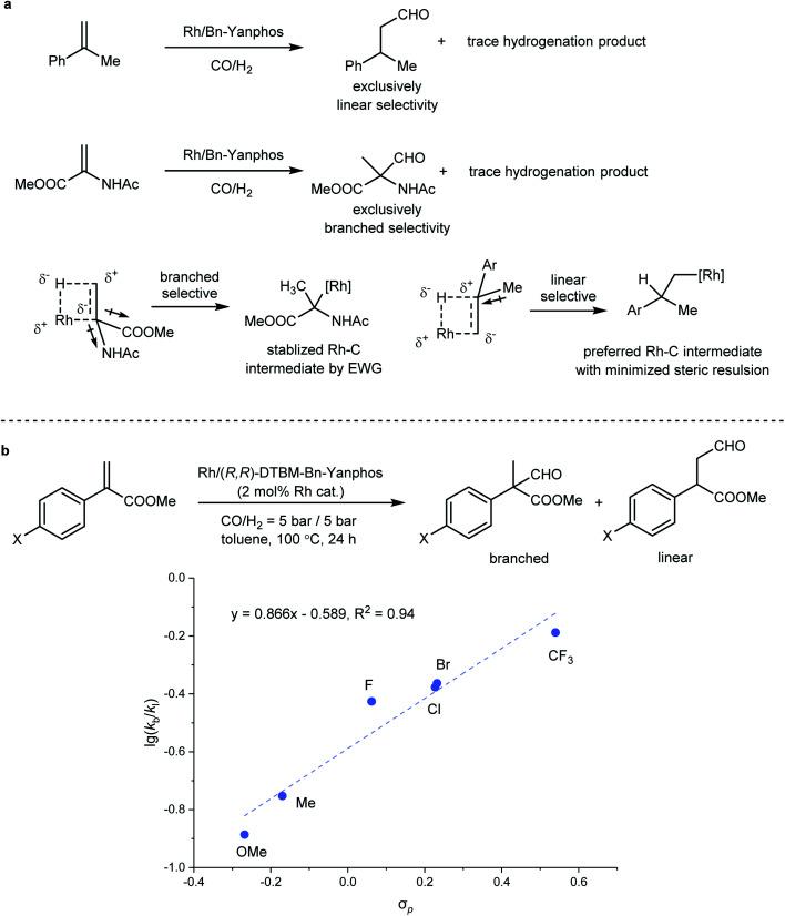
The construction of chiral quaternary carbon stereocenters has been a long-standing challenge in organic chemistry. Particularly, α-quaternary amino acids that are of high importance in biochemistry still lack a straightforward synthetic method. We here reported a hydroformylation approach to access chiral quaternary stereogenic centers, which has been a long-standing challenge in transition metal catalysis. α,β-Unsaturated carboxylic acid derivatives undergo hydroformylation with a rhodium catalyst to generate an α-quaternary stereocenter under mild conditions. By using this method, a variety of chiral α-quaternary amino acids could be synthesized with satisfactory enantioselectivity. In-depth investigation revealed that the regioselectivity is dramatically influenced by the electronic properties of the substituents attached to the target C[double bond, length as m-dash]C bond. By applying NMR and DFT analyses, the chiral environment of a rhodium/Yanphos complex was depicted, based on which a substrate-catalyst interaction model was proposed.

摘要

手性季碳立体中心的构建一直是有机化学领域长期存在的挑战。特别是在生物化学中具有高度重要性的α-季氨基酸,仍然缺乏一种直接的合成方法。我们在此报道了一种通过氢甲酰化反应构建手性季立体中心的方法,这在过渡金属催化领域一直是个长期存在的挑战。α,β-不饱和羧酸衍生物在铑催化剂作用下发生氢甲酰化反应,在温和条件下生成α-季立体中心。通过使用这种方法,可以以令人满意的对映选择性合成多种手性α-季氨基酸。深入研究表明,区域选择性受到连接在目标C=C键上取代基电子性质的显著影响。通过应用核磁共振(NMR)和密度泛函理论(DFT)分析,描绘了铑/联苯膦配合物的手性环境,并在此基础上提出了底物-催化剂相互作用模型。

https://cdn.ncbi.nlm.nih.gov/pmc/blobs/ad24/9214857/6ed838f166dc/d2sc02139k-f1.jpg

文献AI研究员

20分钟写一篇综述,助力文献阅读效率提升50倍。

立即体验

用中文搜PubMed

大模型驱动的PubMed中文搜索引擎

马上搜索

文档翻译

学术文献翻译模型,支持多种主流文档格式。

立即体验