Suppr超能文献

所选唇形科植物水乙醇提取物的潜在抗氧化和抗病毒活性

Potential Antioxidant and Antiviral Activities of Hydroethanolic Extracts of Selected Lamiaceae Species.

作者信息

Duque-Soto Carmen, Borrás-Linares Isabel, Quirantes-Piné Rosa, Falcó Irene, Sánchez Gloria, Segura-Carretero Antonio, Lozano-Sánchez Jesús

机构信息

Department of Food Science and Nutrition, University of Granada, Campus Universitario s/n, 18071 Granada, Spain.

Department of Analytical Chemistry, Faculty of Sciences, University of Granada, 18071 Granada, Spain.

出版信息

Foods. 2022 Jun 24;11(13):1862. doi: 10.3390/foods11131862.

Abstract

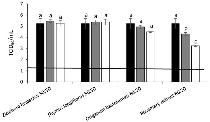
Medicinal and aromatic plants (MAPs) are potential sources of natural bioactive phytochemical compounds of an incredible worth for the food industry, such as polyphenols. Lamiaceae medicinal and aromatic plants from Granada's high plateau, concretely , , , and , were evaluated under different conventional solid-liquid extraction conditions to obtain extracts enriched in bioactive compounds. Phenolic profile was detected by HPLC-QTOF-MS, identifying a high abundance of bioactive constituents. Furthermore, antioxidant and antiviral activities of the mentioned plants were studied as biological properties of interest for the improvement of food shelf-life. Thus, showed the highest antioxidant potential for all assays. Antiviral activity was also tested against some important foodborne viruses, feline calicivirus (FCV), murine norovirus (MNV) and hepatitis A virus (HAV), with the highest activity obtained for , and . This research proposes the studied plants as rich sources of bioactive compounds with potential use as preservatives in the food industry.

摘要

药用和芳香植物是食品工业中具有极高价值的天然生物活性植物化学化合物的潜在来源,例如多酚。对来自格拉纳达高原的唇形科药用和芳香植物,具体为 、 、 、 和 ,在不同的传统固液萃取条件下进行评估,以获得富含生物活性化合物的提取物。通过高效液相色谱-四极杆飞行时间质谱(HPLC-QTOF-MS)检测酚类成分,鉴定出大量生物活性成分。此外,研究了上述植物的抗氧化和抗病毒活性,作为延长食品保质期的重要生物学特性。因此, 在所有测定中显示出最高的抗氧化潜力。还针对一些重要的食源性病毒,猫杯状病毒(FCV)、鼠诺如病毒(MNV)和甲型肝炎病毒(HAV)测试了抗病毒活性,其中 、 和 获得了最高活性。本研究提出,所研究的植物是生物活性化合物的丰富来源,具有在食品工业中用作防腐剂的潜在用途。

https://cdn.ncbi.nlm.nih.gov/pmc/blobs/13f3/9265503/64622e17ec67/foods-11-01862-g001.jpg

文献AI研究员

20分钟写一篇综述,助力文献阅读效率提升50倍。

立即体验

用中文搜PubMed

大模型驱动的PubMed中文搜索引擎

马上搜索

文档翻译

学术文献翻译模型,支持多种主流文档格式。

立即体验