Suppr超能文献

从政策到预测:在不完全疫苗接种下预测 COVID-19 动态。

From Policy to Prediction: Forecasting COVID-19 Dynamics Under Imperfect Vaccination.

机构信息

Department of Mathematical and Statistical Sciences, University of Alberta, Edmonton, AB, T6G 2G1, Canada.

Department of Mathematics, University of Tennessee at Chattanooga, Chattanooga, TN, 37403, USA.

出版信息

Bull Math Biol. 2022 Jul 20;84(9):90. doi: 10.1007/s11538-022-01047-x.

Abstract

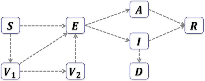
Understanding the joint impact of vaccination and non-pharmaceutical interventions on COVID-19 development is important for making public health decisions that control the pandemic. Recently, we created a method in forecasting the daily number of confirmed cases of infectious diseases by combining a mechanistic ordinary differential equation (ODE) model for infectious classes and a generalized boosting machine learning model (GBM) for predicting how public health policies and mobility data affect the transmission rate in the ODE model (Wang et al. in Bull Math Biol 84:57, 2022). In this paper, we extend the method to the post-vaccination period, accordingly obtain a retrospective forecast of COVID-19 daily confirmed cases in the US, and identify the relative influence of the policies used as the predictor variables. In particular, our ODE model contains both partially and fully vaccinated compartments and accounts for the breakthrough cases, that is, vaccinated individuals can still get infected. Our results indicate that the inclusion of data on non-pharmaceutical interventions can significantly improve the accuracy of the predictions. With the use of policy data, the model predicts the number of daily infected cases up to 35 days in the future, with an average mean absolute percentage error of [Formula: see text], which is further improved to [Formula: see text] if combined with human mobility data. Moreover, the most influential predictor variables are the policies of restrictions on gatherings, testing and school closing. The modeling approach used in this work can help policymakers design control measures as variant strains threaten public health in the future.

摘要

了解疫苗接种和非药物干预措施对 COVID-19 发展的综合影响,对于做出控制大流行的公共卫生决策非常重要。最近,我们创建了一种方法,通过将传染病类别的机械性常微分方程 (ODE) 模型与预测公共卫生政策和流动数据如何影响 ODE 模型中传播率的广义提升机器学习模型 (GBM) 相结合,来预测传染病的每日确诊病例数(Wang 等人,Bull Math Biol 84:57, 2022)。在本文中,我们将该方法扩展到接种疫苗后时期,从而对美国 COVID-19 每日确诊病例进行回溯预测,并确定作为预测变量的政策的相对影响。具体来说,我们的 ODE 模型包含部分和完全接种的群体,并考虑了突破性病例,即已接种疫苗的个体仍可能被感染。我们的结果表明,纳入非药物干预措施的数据可以显著提高预测的准确性。使用政策数据,模型可预测未来 35 天内的每日感染人数,平均平均绝对百分比误差为 [Formula: see text],如果与人类流动数据结合使用,则进一步提高至 [Formula: see text]。此外,最具影响力的预测变量是限制聚会、检测和学校关闭的政策。这项工作中使用的建模方法可以帮助决策者在未来的变异株威胁公众健康时设计控制措施。

https://cdn.ncbi.nlm.nih.gov/pmc/blobs/1f09/9297284/4d4f9e812360/11538_2022_1047_Fig1_HTML.jpg

文献AI研究员

20分钟写一篇综述,助力文献阅读效率提升50倍。

立即体验

用中文搜PubMed

大模型驱动的PubMed中文搜索引擎

马上搜索

文档翻译

学术文献翻译模型,支持多种主流文档格式。

立即体验