Suppr超能文献

体质指数和植物性饮食与中国老年人认知障碍的关系:一项前瞻性、全国性队列研究。

Association of Body Mass Index and Plant-Based Diet with Cognitive Impairment among Older Chinese Adults: A Prospective, Nationwide Cohort Study.

机构信息

School of Public Health, Wuhan University, Wuhan 430071, China.

Department of Health Promotion, Education, and Behavior, Arnold School of Public Health, University of South Carolina, Columbia, SC 29208, USA.

出版信息

Nutrients. 2022 Jul 29;14(15):3132. doi: 10.3390/nu14153132.

Abstract

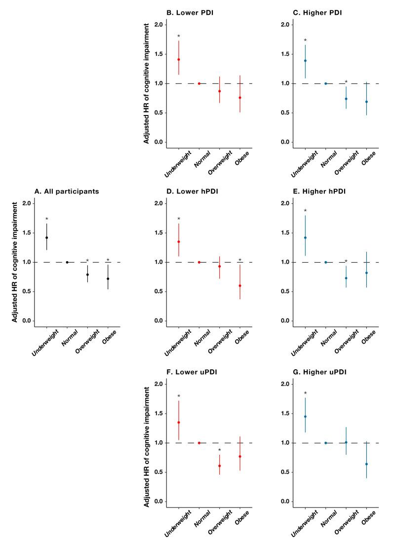
To examine the association of body mass index (BMI) and a plant-based diet (PBD) with cognitive impairment in older adults, this cohort study used data from the Chinese Longitudinal Healthy Longevity Survey (CLHLS), a national, community-based, longitudinal, prospective study in China. Cognitive function was evaluated via the Mini-Mental State Examination (MMSE). Diet was assessed using a simplified food frequency questionnaire (FFQ), and PBD patterns were estimated using the overall plant-based diet index (PDI), the healthful plant-based diet index (hPDI), and the unhealthful plant-based diet index (uPDI). BMI was measured objectively during the physical examination. Cox proportional hazard models and restricted cubic spline analyses were used. A total of 4792 participants with normal cognition at baseline were included, and 1077 participants were identified as having developed cognitive impairment during the 24,156 person-years of follow-up. A reverse J-shaped association was observed between BMI and cognitive impairment ( = 0.005 for nonlinearity). Participants who were overweight (HR = 0.79; 95% CI 0.66-0.95) and obese (HR = 0.72; 95% CI 0.54-0.96) had a decreased risk of cognitive impairment, while those who were underweight (HR = 1.42; 95% CI 1.21-1.66) had an increased risk. Lower PDI, lower hPDI, and higher uPDI were associated with an increased risk of cognitive impairment (HR = 1.32; 95% CI 1.16-1.50 for PDI; HR = 1.46; 95% CI 1.29-1.66 for hPDI; HR = 1.21; 95% CI 1.06-1.38 for uPDI). The protective effect of being overweight on cognitive impairment was more pronounced among participants with a higher PDI (HR = 0.74; 95% CI 0.57-0.95) than those with a lower PDI (HR = 0.87; 95% CI 0.67-1.12), among participants with a higher hPDI (HR = 0.73; 95% CI 0.57-0.94) than those with a lower hPDI (HR = 0.93; 95% CI 0.72-1.10), and among participants with a lower uPDI (HR = 0.61; 95% CI 0.46-0.80) than those with a higher uPDI (HR = 1.01; 95% CI 0.80-1.27). Our results support the positive associations of overweight status, obesity, an overall PBD, and a healthful PBD with cognitive function in older adults. A lower adherence to an overall PBD, a healthful PBD, and a higher adherence to an unhealthful PBD may attenuate the protective effect of being overweight on cognitive function.

摘要

为了探究体质指数(BMI)和植物性饮食(PBD)与老年人认知障碍之间的关联,本队列研究使用了来自中国长寿纵向研究(CLHLS)的数据,该研究是一项在中国开展的全国性、社区为基础、纵向、前瞻性研究。认知功能通过简易精神状态检查(MMSE)进行评估。饮食通过简化食物频率问卷(FFQ)进行评估,PBD 模式通过整体植物性饮食指数(PDI)、健康植物性饮食指数(hPDI)和不健康植物性饮食指数(uPDI)进行评估。BMI 在体检期间进行客观测量。使用 Cox 比例风险模型和限制立方样条分析。共纳入了 4792 名基线认知正常的参与者,在 24156 人年的随访中,有 1077 名参与者被诊断为认知障碍。BMI 与认知障碍之间存在反向 J 形关联(非线性 = 0.005)。超重(HR = 0.79;95%CI 0.66-0.95)和肥胖(HR = 0.72;95%CI 0.54-0.96)的参与者认知障碍风险降低,而体重不足(HR = 1.42;95%CI 1.21-1.66)的参与者认知障碍风险增加。较低的 PDI、较低的 hPDI 和较高的 uPDI 与认知障碍风险增加相关(PDI 的 HR = 1.32;95%CI 1.16-1.50;hPDI 的 HR = 1.46;95%CI 1.29-1.66;uPDI 的 HR = 1.21;95%CI 1.06-1.38)。在 PDI 较高的参与者中(HR = 0.74;95%CI 0.57-0.95),超重对认知障碍的保护作用比 PDI 较低的参与者中更为明显(HR = 0.87;95%CI 0.67-1.12),在 hPDI 较高的参与者中(HR = 0.73;95%CI 0.57-0.94),比 hPDI 较低的参与者中更为明显(HR = 0.93;95%CI 0.72-1.10),在 uPDI 较低的参与者中(HR = 0.61;95%CI 0.46-0.80),比 uPDI 较高的参与者中更为明显(HR = 1.01;95%CI 0.80-1.27)。我们的研究结果支持超重状态、肥胖、整体 PBD 和健康 PBD 与老年人认知功能之间的积极关联。较低的整体 PBD、健康 PBD 和较高的不健康 PBD 依从性可能会降低超重对认知功能的保护作用。

https://cdn.ncbi.nlm.nih.gov/pmc/blobs/494a/9370436/e82a85c7b64e/nutrients-14-03132-g001.jpg

文献AI研究员

20分钟写一篇综述,助力文献阅读效率提升50倍。

立即体验

用中文搜PubMed

大模型驱动的PubMed中文搜索引擎

马上搜索

文档翻译

学术文献翻译模型,支持多种主流文档格式。

立即体验