Suppr超能文献

低等白蚁尖唇异白蚁(等翅目:鼻白蚁科)触角感器及嗅觉基因表达模式

The Antennal Sensilla and Expression Patterns of Olfactory Genes in the Lower Termite Reticulitermes aculabialis (Isoptera: Rhinotermitidae).

作者信息

Saba Noor Us, Ye Chenxu, Zhang Wenxiu, Wu Taoyu, Wang Yijie, Zhang Xiaohan, Song Zhuanzhuan, Xing Lianxi, Su Xiaohong

机构信息

College of Life Sciences, Northwest University, Xi'an, China.

出版信息

J Insect Sci. 2022 Jul 1;22(4). doi: 10.1093/jisesa/ieac045.

Abstract

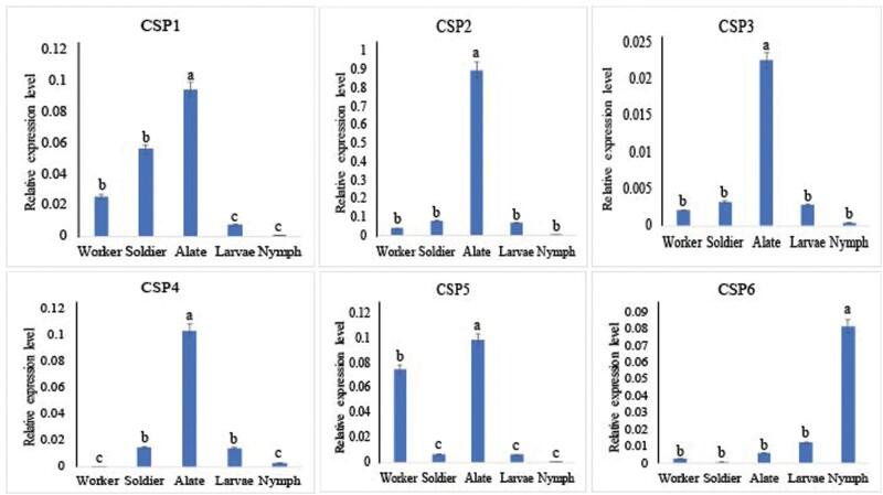
The insect olfactory system plays pivotal roles in insect survival and reproduction through odor detection. Morphological and physiological adaptations are caste-specific and evolved independently in workers, soldiers, and reproductives in termites. However, it is unclear whether the olfactory system is involved in the division of labor in termite colonies. In the present study, the antennal sensilla of alates, workers, soldiers, nymphs, and larvae of the termite Reticulitermes aculabialis Tsai et Hwang ( Isoptera: Rhinotermitidae) were investigated. Transcriptomes were used to detect olfactory genes, and differential expression levels of olfactory genes were confirmed in various castes by qRT-PCR analysis. Nine types of sensilla were identified on the antennae of R. aculabialis, and soldiers possessed all 9 types. In 89,475 assembled unigenes, we found 16 olfactory genes, including 6 chemosensory protein (CSP) and 10 odorant-binding protein (OBP) genes. These OBP genes included 8 general odorant-binding protein genes (GOBPs) and 2 pheromone-binding protein-related protein (PBP) genes. Five CSP genes were more highly expressed in alates than in workers, soldiers, larvae, and nymphs, and the expression levels of CSP6 were significantly higher in nymphs. Seven GOBP and two PBP genes exhibited significantly higher expression levels in alates, and there were no significant differences in the expression levels of GOBP2 among workers, soldiers, alates, and larvae. These results suggest that alates, as primary reproductives, have unique expression patterns of olfactory genes, which play key roles in nuptial flight, mate seeking, and new colony foundation.

摘要

昆虫嗅觉系统通过气味检测在昆虫的生存和繁殖中发挥着关键作用。形态学和生理学适应具有种特异性,并且在白蚁的工蚁、兵蚁和繁殖蚁中独立进化。然而,尚不清楚嗅觉系统是否参与白蚁群体的分工。在本研究中,对白蚁蔡氏网白蚁(等翅目:鼻白蚁科)的有翅成虫、工蚁、兵蚁、若蚁和幼虫的触角感器进行了研究。利用转录组检测嗅觉基因,并通过qRT-PCR分析证实了不同品级中嗅觉基因的差异表达水平。在蔡氏网白蚁的触角上鉴定出9种感器类型,兵蚁拥有所有9种类型。在89475个组装的单基因中,我们发现了16个嗅觉基因,包括6个化学感受蛋白(CSP)基因和10个气味结合蛋白(OBP)基因。这些OBP基因包括8个普通气味结合蛋白基因(GOBP)和2个信息素结合蛋白相关蛋白(PBP)基因。5个CSP基因在有翅成虫中的表达水平高于工蚁、兵蚁、幼虫和若蚁,CSP6在若蚁中的表达水平显著更高。7个GOBP基因和2个PBP基因在有翅成虫中的表达水平显著更高,GOBP2在工蚁、兵蚁、有翅成虫和幼虫中的表达水平没有显著差异。这些结果表明,作为主要繁殖蚁的有翅成虫具有独特的嗅觉基因表达模式,这在婚飞、寻找配偶和建立新群体中起着关键作用。

https://cdn.ncbi.nlm.nih.gov/pmc/blobs/c991/9400615/6c9ced4a53b8/ieac045_fig1.jpg

文献AI研究员

20分钟写一篇综述,助力文献阅读效率提升50倍。

立即体验

用中文搜PubMed

大模型驱动的PubMed中文搜索引擎

马上搜索

文档翻译

学术文献翻译模型,支持多种主流文档格式。

立即体验