National Centre for Infectious Diseases, Singapore.
Tan Tock Seng Hospital, Singapore.
JAMA Netw Open. 2022 Aug 1;5(8):e2228900. doi: 10.1001/jamanetworkopen.2022.28900.
Assessing booster effectiveness of COVID-19 mRNA vaccine and inactivated SARS-CoV-2 vaccine over longer time intervals and in response to any further SARS-CoV-2 variants is crucial in determining optimal COVID-19 vaccination strategies.
To determine levels of protection against severe COVID-19 and confirmed SARS-CoV-2 infection by types and combinations of vaccine boosters in Singapore during the Omicron wave.
DESIGN, SETTING, AND PARTICIPANTS: This cohort study included Singapore residents aged 30 years or more vaccinated with either at least 2 doses of mRNA COVID-19 vaccines (ie, Pfizer-BioNTech BNT162b2 or Moderna mRNA-1273) or inactivated SARS-CoV-2 vaccines (Sinovac CoronaVac or Sinopharm BBIBP-CorV) as of March 10, 2022. Individuals with a known SARS-CoV-2 infection prior to December 27, 2021, an infection on or before the date of their second vaccine dose, or with reinfection cases were excluded.
Two or 3 doses of Pfizer-BioNTech BNT162b2, Moderna mRNA-1273, Sinovac CoronaVac, or Sinopharm BBIBP-CorV.
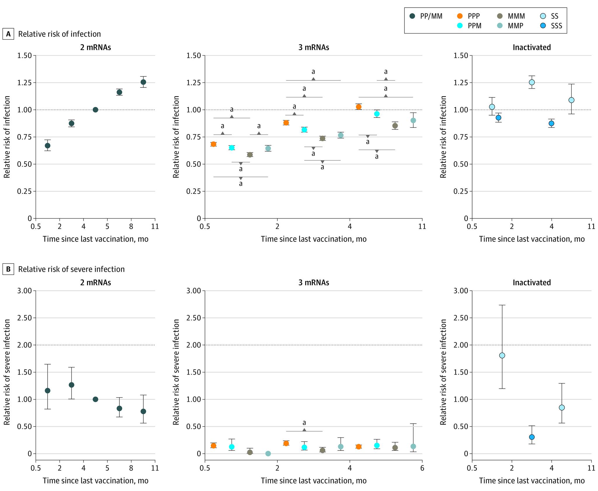
Notified infections from December 27, 2021, to March 10, 2022, adjusted for age, sex, race, housing status, and calendar days. Estimated booster effectiveness, defined as the relative incidence-rate reduction of severe disease (supplemental oxygen, intensive care, or death) or confirmed infection following 3-dose vaccination compared with 5 months after second mRNA dose, was determined using binomial regression.
Among 2 441 581 eligible individuals (1 279 047 [52.4%] women, 846 110 (34.7%) aged 60 years and older), there were 319 943 (13.1%) confirmed SARS-CoV-2 infections, of which 1513 (0.4%) were severe COVID-19 cases. mRNA booster effectiveness against confirmed infection 15 to 60 days after boosting was estimated to range from 31.7% to 41.3% for the 4 boosting combinations (homologous BNT162b2, homologous mRNA-1273, 2-dose BNT162b2/mRNA-1273 booster, and 2-dose mRNA-1273/BNT162b2 booster). Five months and more after boosting, estimated booster effectiveness against confirmed infection waned, ranging from -2.8% to 14.6%. Against severe COVID-19, estimated mRNA booster effectiveness was 87.4% (95% CI, 83.3%-90.5%) 15 to 60 days after boosting and 87.2% (95% CI, 84.2%-89.7%) 5 to 6 months after boosting, with no significant difference comparing vaccine combinations. Booster effectiveness against severe COVID-19 15 days to 330 days after 3-dose inactivated COVID-19 vaccination, regardless of combination, was estimated to be 69.6% (95% CI, 48.7%-81.9%).
Booster mRNA vaccine protection against severe COVID-19 was estimated to be durable over 6 months. Three-dose inactivated SARS-CoV-2 vaccination provided greater protection than 2-dose but weaker protection compared with 3-dose mRNA.
评估 COVID-19 mRNA 疫苗和灭活 SARS-CoV-2 疫苗在较长时间间隔内以及针对任何 SARS-CoV-2 变体的加强针效力对于确定最佳 COVID-19 疫苗接种策略至关重要。
在奥密克戎波期间,确定在新加坡,通过不同类型和组合的疫苗加强针,针对严重 COVID-19 和确诊 SARS-CoV-2 感染的保护水平。
设计、设置和参与者:本队列研究包括截至 2022 年 3 月 10 日,30 岁或以上的新加坡居民,他们接种了至少 2 剂 mRNA COVID-19 疫苗(即辉瑞-BioNTech BNT162b2 或 Moderna mRNA-1273)或灭活 SARS-CoV-2 疫苗(科兴 Sinovac CoronaVac 或国药控股 Sinopharm BBIBP-CorV)。已知在 2021 年 12 月 27 日之前患有 SARS-CoV-2 感染、在第二剂疫苗接种当天或之前患有感染或再感染病例的个体被排除在外。
接种 2 剂或 3 剂辉瑞-BioNTech BNT162b2、Moderna mRNA-1273、科兴 Sinovac CoronaVac 或国药控股 Sinopharm BBIBP-CorV。
自 2021 年 12 月 27 日至 2022 年 3 月 10 日期间报告的感染病例,根据年龄、性别、种族、住房状况和日历天数进行调整。使用二项式回归确定加强针效力,定义为 3 剂接种后与第 2 剂 mRNA 接种后 5 个月相比,严重疾病(补充氧气、重症监护或死亡)或确诊感染的相对发病率降低率。
在 2441581 名合格个体中(1279047 名女性[52.4%],846110 名(34.7%)年龄在 60 岁及以上),有 319943 例(13.1%)确诊的 SARS-CoV-2 感染,其中 1513 例(0.4%)为严重 COVID-19 病例。mRNA 加强针在加强后 15 至 60 天对确诊感染的有效性估计范围为 4 种加强组合(同源 BNT162b2、同源 mRNA-1273、2 剂 BNT162b2/mRNA-1273 加强针和 2 剂 mRNA-1273/BNT162b2 加强针)的 31.7%至 41.3%。加强后 5 个月及以上,对确诊感染的估计加强针效力减弱,范围为-2.8%至 14.6%。对于严重 COVID-19,mRNA 加强针在加强后 15 至 60 天的估计有效性为 87.4%(95%CI,83.3%-90.5%),在加强后 5 至 6 个月为 87.2%(95%CI,84.2%-89.7%),疫苗组合之间无显著差异。无论组合如何,3 剂灭活 SARS-CoV-2 疫苗接种后 15 至 330 天对严重 COVID-19 的加强针效力估计为 69.6%(95%CI,48.7%-81.9%)。
mRNA 疫苗加强针对严重 COVID-19 的保护作用估计在 6 个月以上是持久的。3 剂灭活 SARS-CoV-2 疫苗接种提供的保护作用比 2 剂更强,但比 3 剂 mRNA 疫苗接种的保护作用弱。