Suppr超能文献

β2-微球蛋白在评估脑损伤严重程度和预后中的作用:一项临床研究。

Effect of β2-microglobulin in evaluating the severity and prognosis of brain injury: a clinical study.

机构信息

Department of Neurology, Beijing Chao-Yang Hospital, Capital Medical University, Beijing, 100020, China.

Department of Hyperbaric Oxygen Medicine, Beijing Luhe Hospital, Capital Medical University, Beijing, 101149, China.

出版信息

BMC Neurol. 2022 Sep 1;22(1):327. doi: 10.1186/s12883-022-02850-8.

Abstract

BACKGROUND

β2-microglobulin has been showing to be vital that associated with brain function and neurological diseases. This study aimed to explore the expressions of β2-microglobulin in blood and urine of the patients with brain injury, and the effect of hyperbaric oxygen therapy on the content of β2-microglobulin.

METHODS

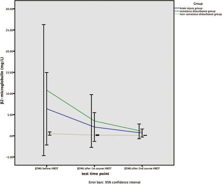
This prospective study included 54 patients with brain injury and 11 healthy controls. The patients were further assigned to two groups: the conscious disturbance group (n = 32) and the non-conscious disturbance group (n = 22) depending on the Glasgow Coma Scale (GCS). The patients received routine treatment and two courses of hyperbaric oxygen therapy (2.0ATA, 60 min, once a day, 10 days for a course). In the brain injury group, blood β2-microglobulin (β2MG) and urine β2-microglobulin (β2MU) were detected respectively before and after hyperbaric oxygen therapy (HBOT). Consciousness and cognitive scores were performed, correspondingly.

RESULTS

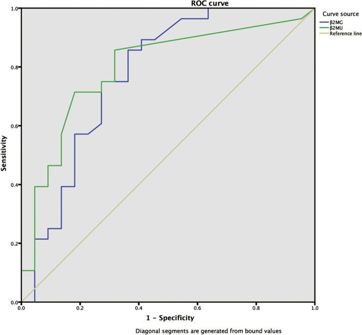
Compared with those of the control group, levels of β2MG and β2MU in the brain injury group were significantly increased before HBOT (P < 0.05). Whether it was before or after HBOT, β2MG's content in the conscious disturbance group was higher than that in the non-conscious disturbance group, while β2MU's content was obviously higher than that of the non-conscious disturbance group only before HBOT (P < 0.05). Besides, the β2MU's content in the conscious disturbance group was negatively correlated with GCS score (R = -0.351, P < 0.05) and β2MG's content in the non-conscious disturbance group was positively correlated with the MMSE score grade (R = 0.598, P < 0.05). The ROC curve was used to assess the evaluation of β2MG and β2MU for patients with impaired consciousness with the area under the curve (AUC) of β2MG and β2MU were 0.775 and 0.796, respectively.

CONCLUSION

The concentrations of blood β2-microglobulin and urinary β2-microglobulin were significantly increased in patients with brain injury. The concentrations of β2-microglobulin were correlated with the degree of consciousness and cognitive function. The changes tendency of β2-microglobulin may be considered as clinical monitoring index to evaluate the patient's disturbance of consciousness and cognitive degree, and provide a basis for early assessment of prognosis.

摘要

背景

β2-微球蛋白已被证明与大脑功能和神经疾病密切相关。本研究旨在探讨脑损伤患者血液和尿液中β2-微球蛋白的表达,以及高压氧治疗对β2-微球蛋白含量的影响。

方法

本前瞻性研究纳入了 54 例脑损伤患者和 11 名健康对照者。根据格拉斯哥昏迷量表(GCS),患者进一步分为意识障碍组(n=32)和非意识障碍组(n=22)。所有患者均接受常规治疗和 2 个疗程高压氧治疗(2.0ATA,60 分钟/次,1 天 1 次,10 天为 1 个疗程)。在脑损伤组中,分别于高压氧治疗前(HBOT 前)和治疗后(HBOT 后)检测血液β2-微球蛋白(β2MG)和尿液β2-微球蛋白(β2MU)。同时,进行意识和认知评分。

结果

与对照组相比,HBOT 前脑损伤组β2MG 和β2MU 水平明显升高(P<0.05)。无论是 HBOT 前还是 HBOT 后,意识障碍组β2MG 含量均高于非意识障碍组,而 HBOT 前β2MU 含量明显高于非意识障碍组(P<0.05)。此外,意识障碍组β2MU 含量与 GCS 评分呈负相关(R=-0.351,P<0.05),非意识障碍组β2MG 含量与 MMSE 评分等级呈正相关(R=0.598,P<0.05)。ROC 曲线评估β2MG 和β2MU 对意识障碍患者的评估,β2MG 和β2MU 的曲线下面积(AUC)分别为 0.775 和 0.796。

结论

脑损伤患者血液β2-微球蛋白和尿液β2-微球蛋白浓度明显升高。β2-微球蛋白浓度与意识和认知功能程度相关。β2-微球蛋白的变化趋势可作为临床监测指标,评估患者的意识障碍和认知程度,并为预后早期评估提供依据。

https://cdn.ncbi.nlm.nih.gov/pmc/blobs/694b/9434844/cdf0aa4b5792/12883_2022_2850_Fig1_HTML.jpg

文献AI研究员

20分钟写一篇综述,助力文献阅读效率提升50倍。

立即体验

用中文搜PubMed

大模型驱动的PubMed中文搜索引擎

马上搜索

文档翻译

学术文献翻译模型,支持多种主流文档格式。

立即体验