Suppr超能文献

不同增塑剂对聚(3-羟基丁酸酯-co-3-羟基己酸酯)薄膜的热性能、结晶性能和渗透性的影响

Effect of Different Plasticizers on Thermal, Crystalline, and Permeability Properties of Poly(3-hydroxybutyrate-co-3-hydroxyhexanoate) Films.

作者信息

Farrag Yousof, Barral Luis, Gualillo Oreste, Moncada Danny, Montero Belén, Rico Maite, Bouza Rebeca

机构信息

NEIRID Group (Neuroendocrine Interactions in Rheumatology and Inflammatory Diseases), IDIS (Instituto de Investigación Sanitaria de Santiago de Compostela), Santiago University Clinical Hospital, Building C, Travesía da Choupana s/n, 15706 Santiago de Compostela, Spain.

Grupo de Polímeros, Departamento de Física y Ciencias de la Tierra, Escuela Universitaria Politécnica, Serantes, Universidade da Coruña, Avda. 19 de Febrero s/n, 15471 Ferrol, Spain.

出版信息

Polymers (Basel). 2022 Aug 26;14(17):3503. doi: 10.3390/polym14173503.

Abstract

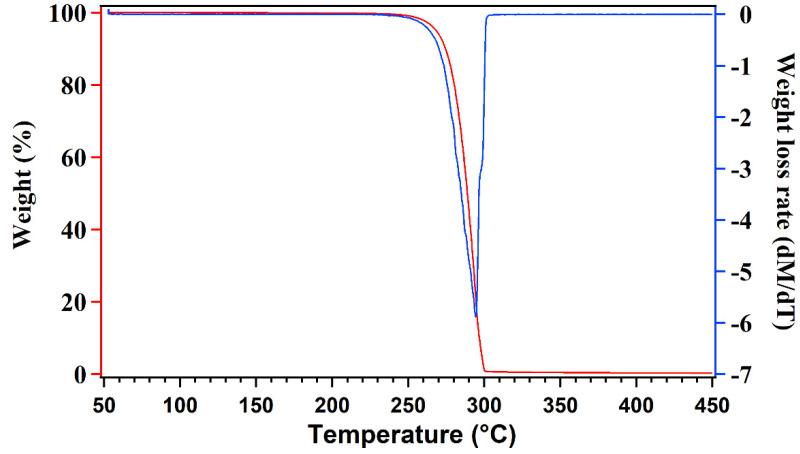
Poly(3-hydroxybutyrate-co-3-hydroxyhexanoate) (PHBH) films were prepared using a cast film technique. Dioxane was chosen over other polymer solvents as it resulted in homogenous films with better morphology. Several plasticizers with different molecular weights and concentrations were added to the biopolymer solution prior to casting. Thermal, crystalline, and permeability properties were analyzed by thermogravimetric analysis (TGA), differential scanning calorimetry (DSC), X-ray diffraction (XRD), and both water vapor and oxygen transmission rate analysis. In general, the addition of plasticizers decreased the glass transition temperature (T), cold crystallization temperatures (T), melting temperatures, as well as crystallinity degrees and increased the crystallite sizes and water vapor and oxygen transmission rates. The use of isosorbide and low-molecular-weight poly(ethylene glycol) (PEG) lowered the Tg around 30 °C at the highest used concentration, also being the most effective in increasing the crystallite size. When considering isosorbide and low-molecular-weight poly(ethylene glycol) (PEG) as very good plasticizers for PHBH, the question of which plasticizer to use strongly relies on the desired PHBH application.

摘要

采用流延成膜技术制备了聚(3-羟基丁酸酯-co-3-羟基己酸酯)(PHBH)薄膜。选择二氧六环而非其他聚合物溶剂,因为它能得到形态更好的均匀薄膜。在流延之前,向生物聚合物溶液中添加了几种不同分子量和浓度的增塑剂。通过热重分析(TGA)、差示扫描量热法(DSC)、X射线衍射(XRD)以及水蒸气和氧气透过率分析对热性能、结晶性能和渗透性能进行了分析。一般来说,添加增塑剂会降低玻璃化转变温度(Tg)、冷结晶温度(Tc)、熔点以及结晶度,并增加微晶尺寸、水蒸气和氧气透过率。在最高使用浓度下,使用异山梨醇和低分子量聚乙二醇(PEG)可使Tg降低约30℃,在增加微晶尺寸方面也是最有效的。当认为异山梨醇和低分子量聚乙二醇(PEG)是PHBH的非常好的增塑剂时,使用哪种增塑剂的问题很大程度上取决于所需的PHBH应用。

https://cdn.ncbi.nlm.nih.gov/pmc/blobs/53d4/9460745/e798c341193f/polymers-14-03503-g001.jpg

文献AI研究员

20分钟写一篇综述,助力文献阅读效率提升50倍。

立即体验

用中文搜PubMed

大模型驱动的PubMed中文搜索引擎

马上搜索

文档翻译

学术文献翻译模型,支持多种主流文档格式。

立即体验