Suppr超能文献

一项评估新型口服 SARS-CoV-2 3CL 蛋白酶抑制剂恩赛特韦(ensitrelvir)在日本轻至中度 COVID-19 或无症状 SARS-CoV-2 感染患者中的疗效和安全性的随机 2/3 期研究:2a 期部分结果。

A Randomized Phase 2/3 Study of Ensitrelvir, a Novel Oral SARS-CoV-2 3C-Like Protease Inhibitor, in Japanese Patients with Mild-to-Moderate COVID-19 or Asymptomatic SARS-CoV-2 Infection: Results of the Phase 2a Part.

机构信息

Department of Respiratory Medicine, Nagasaki University Graduate School of Biomedical Sciences, Nagasaki, Japan.

The Institute of Medical Science, The University of Tokyo, Tokyo, Japan.

出版信息

Antimicrob Agents Chemother. 2022 Oct 18;66(10):e0069722. doi: 10.1128/aac.00697-22. Epub 2022 Sep 13.

Abstract

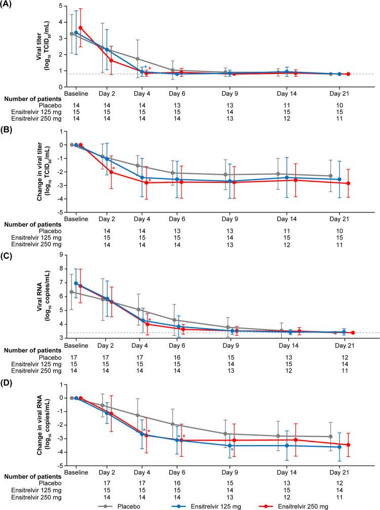
This multicenter, double-blind, phase 2a part of a phase 2/3 study assessed the efficacy and safety of ensitrelvir, a novel severe acute respiratory syndrome coronavirus 2 (SARS-CoV-2) 3C-like protease inhibitor, in Japanese patients with mild-to-moderate coronavirus disease 2019 (COVID-19) or asymptomatic SARS-CoV-2 infection. Sixty-nine patients were randomized (1:1:1) to orally receive 5-day ensitrelvir fumaric acid (375 mg on day 1 followed by 125 mg daily, or 750 mg on day 1 followed by 250 mg daily) or placebo and followed up until day 28. The primary outcome was the change from baseline in the SARS-CoV-2 viral titer. A total of 16, 14, and 17 patients in the ensitrelvir 125 mg, ensitrelvir 250 mg, and placebo groups, respectively, were included in the intention-to-treat population (mean age: 38.0 to 40.4 years). On day 4, the change from baseline in SARS-CoV-2 viral titer (log 50% tissue culture infectious dose/mL) in patients with positive viral titer and viral RNA at baseline was greater with ensitrelvir 125 mg (mean [standard deviation], -2.42 [1.42]; 0.0712) and 250 mg (-2.81 [1.21]; 0.0083) versus placebo (-1.54 [0.74]); ensitrelvir treatment reduced SARS-CoV-2 RNA by -1.4 to -1.5 log copies/mL versus placebo. The viral titer and viral RNA were similar across groups on and after day 6. The median time to infectious viral clearance decreased by approximately 50 h with ensitrelvir treatment. All adverse events were mild to moderate. Ensitrelvir treatment demonstrated rapid SARS-CoV-2 clearance and was well tolerated (Japan Registry of Clinical Trials identifier: jRCT2031210350).

摘要

这项多中心、双盲、2 期部分 2/3 期研究评估了新型严重急性呼吸综合征冠状病毒 2(SARS-CoV-2)3C 样蛋白酶抑制剂恩赛特韦在日本轻至中度 2019 年冠状病毒病(COVID-19)或无症状 SARS-CoV-2 感染患者中的疗效和安全性。69 名患者按 1:1:1 的比例随机接受 5 天恩赛特韦富马酸治疗(第 1 天 375mg,随后每天 125mg;或第 1 天 750mg,随后每天 250mg)或安慰剂治疗,并随访至第 28 天。主要结局是从基线开始 SARS-CoV-2 病毒载量的变化。分别有 16、14 和 17 名患者入组恩赛特韦 125mg、恩赛特韦 250mg 和安慰剂组,均为意向治疗人群(平均年龄:38.0 至 40.4 岁)。在第 4 天,基线时病毒载量阳性且病毒 RNA 阳性的患者,与安慰剂相比,恩赛特韦 125mg(平均[标准偏差],-2.42[1.42];0.0712)和 250mg(-2.81[1.21];0.0083)组的 SARS-CoV-2 病毒载量变化更大,而安慰剂组为-1.54[0.74];恩赛特韦治疗使 SARS-CoV-2 RNA 降低了-1.4 至-1.5 对数拷贝/ml。恩赛特韦治疗后第 6 天及之后,病毒载量和病毒 RNA 在各组之间相似。恩赛特韦治疗使传染性病毒清除的中位时间缩短了约 50 小时。所有不良事件均为轻度至中度。恩赛特韦治疗迅速清除 SARS-CoV-2,且具有良好的耐受性(日本临床试验注册编号:jRCT2031210350)。

https://cdn.ncbi.nlm.nih.gov/pmc/blobs/6a41/9578433/4b27b1cf9462/aac.00697-22-f001.jpg

文献AI研究员

20分钟写一篇综述,助力文献阅读效率提升50倍。

立即体验

用中文搜PubMed

大模型驱动的PubMed中文搜索引擎

马上搜索

文档翻译

学术文献翻译模型,支持多种主流文档格式。

立即体验