Suppr超能文献

原花青素通过 PI3K/AKT 和 HO-1 对类银屑病细胞模型的保护作用。

The protective effect of proanthocyanidins on the psoriasis-like cell models via PI3K/AKT and HO-1.

机构信息

Department of Dermatology, the Affiliated Hospital of Southwest Medical University, Luzhou, People's Republic of China.

Department of Anatomy, Southwest Medical University, Luzhou, People's Republic of China.

出版信息

Redox Rep. 2022 Dec;27(1):200-211. doi: 10.1080/13510002.2022.2123841.

Abstract

BACKGROUND

Inflammation and oxidative stress (OS) are important contributors to psoriasis pathogenesis. Proanthocyanidins (PCs) have anti-inflammatory and anti-oxidative activities. Previously, we discovered that PCs alleviated psoriasis-like mice symptoms, likely via mitigating inflammation and OS damage.

OBJECTIVE

To elucidate the protective mechanism underlying PCs against the damage of TNF-ɑ-induced psoriasis-like cell models.

METHODS

Psoriasis-like cell models were established with 7.5 ng/mL TNF-ɑ and then subjected to different-concentrations PCs treatment. Finally, inflammatory and oxidative parameters were determined. Besides, LY294002 (PI3K inhibitor) and ZnPP (HO-1 inhibitor) were employed to investigate the roles of PI3K/AKT and HO-1 in PCs against psoriasis-like cell models.

RESULTS

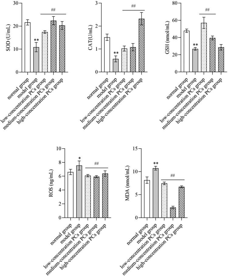
After TNF-α treatment, cells organized tightly and proliferated greatly (P<0.01); HO-1 expression dropped obviously, along with the increased OS/inflammatory indicators and the decreased antioxidants (P<0.05); consequently, psoriasis-like cell models were well established. In the presence of PCs, nevertheless, the proliferation rate and number of psoriasis-like cells evidently decreased (P<0.01), accompanied with enhanced HO-1 and antioxidants, and lowered OS/inflammatory indicators as well as phosphorylated JAK2/STAT3/PI3/AKT (P<0.01). Similar changes appeared after LY294002 pretreatment, regardless of PCs or not. But after ZnPP pretreatment with or without PCs, the opposite occurred.

CONCLUSION

The study reveals that PCs can suppress psoriasis-like cell proliferation and reduce inflammatory/OS damage through PI3K/AKT inhibition and HO-1 activation, thus promising a candidate for PCs in treating psoriasis.

摘要

背景

炎症和氧化应激(OS)是银屑病发病机制的重要因素。原花青素(PCs)具有抗炎和抗氧化作用。此前,我们发现 PCs 缓解了银屑病样小鼠的症状,可能是通过减轻炎症和 OS 损伤。

目的

阐明 PCs 对 TNF-α诱导的银屑病样细胞模型损伤的保护机制。

方法

用 7.5ng/mL TNF-α建立银屑病样细胞模型,然后用不同浓度的 PCs 处理。最后,测定炎症和氧化参数。此外,还使用 LY294002(PI3K 抑制剂)和 ZnPP(HO-1 抑制剂)来研究 PI3K/AKT 和 HO-1 在 PCs 对银屑病样细胞模型中的作用。

结果

TNF-α处理后,细胞紧密排列,增殖明显(P<0.01);HO-1 表达明显下降,同时 OS/炎症指标升高,抗氧化剂减少(P<0.05);因此,银屑病样细胞模型建立良好。然而,在 PCs 的存在下,银屑病样细胞的增殖率和数量明显降低(P<0.01),同时 HO-1 和抗氧化剂增强,OS/炎症指标以及磷酸化 JAK2/STAT3/PI3/AKT 降低(P<0.01)。无论是否存在 PCs,用 LY294002 预处理后都会出现类似的变化。但是,在用 ZnPP 预处理后,无论是否存在 PCs,结果都相反。

结论

该研究表明,PCs 可以通过抑制 PI3K/AKT 和激活 HO-1 来抑制银屑病样细胞增殖,减少炎症/OS 损伤,有望成为治疗银屑病的 PCs 候选药物。

https://cdn.ncbi.nlm.nih.gov/pmc/blobs/b06a/9542435/3412079a7e19/YRER_A_2123841_F0001_OC.jpg

文献AI研究员

20分钟写一篇综述,助力文献阅读效率提升50倍。

立即体验

用中文搜PubMed

大模型驱动的PubMed中文搜索引擎

马上搜索

文档翻译

学术文献翻译模型,支持多种主流文档格式。

立即体验