Suppr超能文献

基质金属蛋白酶-9 的注射导致心室重构。

Injection of Matrix Metalloproteinase-9 Leads to Ventricular Remodeling.

机构信息

Department of Cardiology, The First Affiliated Hospital of Guangdong Pharmaceutical University, Guangdong Province, 510080, China.

Metabolic Disease Research Center of Integrated Chinese and Western Medicine, Guangdong Province, 510080, China.

出版信息

Dis Markers. 2022 Sep 20;2022:1659771. doi: 10.1155/2022/1659771. eCollection 2022.

Abstract

OBJECTIVE

Previous studies have found that some ventricular remodeling is accompanied by increased matrix metalloproteinase-9 (MMP-9) in vivo, and MMP-9 inhibitors can reduce ventricular remodeling. However, there is still no direct evidence that MMP-9 causes ventricular remodeling. In this study, MMP-9 was injected into rats to observe whether MMP-9 caused ventricular remodeling, thereby providing direct evidence of MMP-9-induced ventricular remodeling.

METHODS

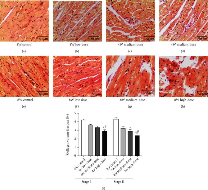
Forty-eight eight-week-old male Wistar rats were randomly divided, by weight, into control, low-, medium-, and high-dose MMP-9 groups and were administered normal saline or recombinant rat MMP-9 0.7, 1.4, or 2.1 ng/g, respectively, via intraperitoneal injection, twice per week. On the 28th day, six rats were randomly selected from each group (Stage I). The remaining rats continued receiving injections until the 56th day (Stage II). Echocardiography was performed to observe cardiac structure and function, and the left ventricular mass index (LVWI) was calculated. Myocardial pathological changes and the collagen volume fraction (CVF) were observed by HE and VG staining in myocardial tissue. MMP-9 levels in serum were tested using ELISA. Myocardial MMP-9 levels were measured using Western blots, and the myocardial expression levels of MMP-9 mRNA were assessed using RT-PCR.

RESULTS

During Stage I, serum MMP-9 and myocardial MMP-9 mRNA levels are increased; hypertrophic cardiomyocytes, disorderly arrangement of fibers, and endochylema dissolution are observed in the medium- and high-dose groups. The left ventricular weight index (LVWI) and myocardial MMP-9 increased, and the collagen volume fraction (CVF) reduced in the high-dose group. In Stage II, the left ventricular end-diastolic volume (LVEDV) and diameter (LVIDd) are higher, and CVF decreased in the medium- and high-dose groups. Myocardial pathological lesions intensified. Serum MMP-9 in the model groups and myocardial MMP-9 in the medium- and high-dose groups are increased.

CONCLUSIONS

Injection of MMP-9 can lead to ventricular remodeling.

摘要

目的

既往研究发现,体内某些心室重构伴有基质金属蛋白酶-9(MMP-9)增加,MMP-9 抑制剂可减少心室重构。但是,仍没有 MMP-9 导致心室重构的确切证据。本研究通过向大鼠体内注射 MMP-9,观察 MMP-9 是否引起心室重构,从而为 MMP-9 诱导的心室重构提供直接证据。

方法

48 只 8 周龄雄性 Wistar 大鼠按体重随机分为对照组、低剂量 MMP-9 组、中剂量 MMP-9 组和高剂量 MMP-9 组,分别给予生理盐水或重组大鼠 MMP-9 0.7、1.4、2.1ng/g,腹腔注射,每周 2 次。第 28 天,每组随机抽取 6 只大鼠(阶段 I)。其余大鼠继续注射至第 56 天(阶段 II)。行超声心动图观察心功能和结构,计算左心室质量指数(LVWI)。心肌组织行 HE 和 VG 染色观察心肌病理变化和胶原容积分数(CVF)。酶联免疫吸附试验(ELISA)检测血清 MMP-9 水平。Western blot 检测心肌 MMP-9 水平,逆转录-聚合酶链反应(RT-PCR)检测 MMP-9 mRNA 心肌表达水平。

结果

阶段 I 时,中、高剂量组血清 MMP-9 和心肌 MMP-9mRNA 水平升高,心肌细胞肥大,纤维排列紊乱,胞浆溶解;高剂量组 LVWI 和心肌 MMP-9 增加,胶原容积分数(CVF)降低。阶段 II 时,中、高剂量组左心室舒张末期容积(LVEDV)和直径(LVIDd)增加,CVF 降低,心肌病理损伤加重。模型组血清 MMP-9 升高,中、高剂量组心肌 MMP-9 升高。

结论

注射 MMP-9 可导致心室重构。

https://cdn.ncbi.nlm.nih.gov/pmc/blobs/8001/9526576/7d168198831a/DM2022-1659771.001.jpg

文献AI研究员

20分钟写一篇综述,助力文献阅读效率提升50倍。

立即体验

用中文搜PubMed

大模型驱动的PubMed中文搜索引擎

马上搜索

文档翻译

学术文献翻译模型,支持多种主流文档格式。

立即体验