Suppr超能文献

新型喹喔啉衍生物作为表皮生长因子受体(EGFR)和环氧化酶-2(COX-2)双重抑制剂:作为潜在抗癌和抗炎剂的合成、分子对接及生物学评价

Novel quinoxaline derivatives as dual EGFR and COX-2 inhibitors: synthesis, molecular docking and biological evaluation as potential anticancer and anti-inflammatory agents.

作者信息

Ahmed Eman A, Mohamed Mamdouh F A, Omran Omran A

机构信息

Department of Chemistry, Faculty of Science, Sohag University Sohag 82524 Egypt.

Department of Pharmaceutical Chemistry, Faculty of Pharmacy, Sohag University 82524 Sohag Egypt

出版信息

RSC Adv. 2022 Sep 5;12(39):25204-25216. doi: 10.1039/d2ra04498f.

Abstract

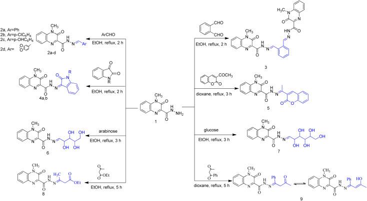
Novel quinoxaline derivatives (2a-d, 3, 4a, 4b and 5-15) have been synthesized the reaction of 4-methyl-3-oxo-3,4-dihydroquinoxaline-2-carbohydrazide (1) with different aldehydes, ketones, diketones, ketoesters, as well as hydrazine, phenyl isothiocyanate, carbon disulphide. The synthesized products have been screened for their anticancer and COX inhibitory activities. Most of the synthesized compounds exhibited good anticancer and COX-2 inhibitory activities. MTT assay revealed that compounds 11 and 13 were the most potent and exhibited very strong anticancer activity against the three cancer cell lines with IC values ranging from 0.81 μM to 2.91 μM. Compounds 4a and 5 come next and displayed strong anticancer activity against the three cancer cell lines with IC values ranging from 3.21 μM to 4.54 μM. Mechanistically, compounds 4a and 13 were the most active and potently inhibited EGFR with IC = 0.3 and 0.4 μM, respectively. Compounds 11 and 5 come next with IC = 0.6 and 0.9 μM, respectively. Moreover, compounds 11 and 13 were the most potent as COX-2 inhibitors and displayed higher potency against COX-2 (IC = 0.62 and 0.46 μM, respectively) more than COX-1 (IC = 37.96 and 30.41 μM, respectively) with selectivity indexes (SI) of 61.23 and 66.11, respectively. Compounds 4a and 5 comes next with IC = 1.17 and 0.83 μM and SI of 24.61 and 48.58, respectively. Molecular docking studies into the catalytic binding pocket of both protein receptors, EGFR and COX-2, showed good correlation with the obtained biological results. Parameters of Lipinski's rule of five and Veber's standard were calculated and revealed that compounds 4a, 5, 11 and 13 had a reasonable drug-likeness with acceptable physicochemical properties. Therefore, based on the obtained biological results accompanied with the docking study and physicochemical parameters, it could be concluded that compounds 4a, 5, 11 and 13 could be used as promising orally absorbed dual anti-inflammatory agents inhibition of COX-2 enzyme and anticancer candidates inhibition of EGFR enzyme and could be used as a future template for further investigations.

摘要

通过4-甲基-3-氧代-3,4-二氢喹喔啉-2-碳酰肼(1)与不同的醛、酮、二酮、酮酯以及肼、苯基异硫氰酸酯、二硫化碳反应,合成了新型喹喔啉衍生物(2a-d、3、4a、4b和5-15)。对合成产物进行了抗癌和COX抑制活性筛选。大多数合成化合物表现出良好的抗癌和COX-2抑制活性。MTT分析表明,化合物11和13活性最强,对三种癌细胞系表现出非常强的抗癌活性,IC值范围为0.81μM至2.91μM。化合物4a和5次之,对三种癌细胞系表现出较强的抗癌活性,IC值范围为3.21μM至4.54μM。从作用机制来看,化合物4a和13活性最高,分别以IC = 0.3和0.4μM的浓度有效抑制EGFR。化合物11和5次之,IC值分别为0.6和0.9μM。此外,化合物11和13作为COX-2抑制剂活性最强,对COX-2的抑制效力(IC分别为0.62和0.46μM)高于对COX-1的抑制效力(IC分别为37.96和30.41μM),选择性指数(SI)分别为61.23和66.11。化合物4a和5次之,IC值分别为1.17和0.83μM,SI分别为24.61和48.58。对两种蛋白质受体EGFR和COX-2的催化结合口袋进行分子对接研究,结果与所获得的生物学结果具有良好的相关性。计算了Lipinski五规则和Veber标准的参数,结果表明化合物4a、5、11和13具有合理的类药性以及可接受的物理化学性质。因此,基于所获得的生物学结果、对接研究以及物理化学参数,可以得出结论,化合物4a、5、11和13可作为有前景的口服吸收型双重抗炎剂(抑制COX-2酶)和抗癌候选物(抑制EGFR酶),并可作为未来进一步研究的模板。

https://cdn.ncbi.nlm.nih.gov/pmc/blobs/63e6/9443684/f9b453146c25/d2ra04498f-f1.jpg

文献AI研究员

20分钟写一篇综述,助力文献阅读效率提升50倍。

立即体验

用中文搜PubMed

大模型驱动的PubMed中文搜索引擎

马上搜索

文档翻译

学术文献翻译模型,支持多种主流文档格式。

立即体验