Suppr超能文献

内毒素暴露后诱导的肺部炎症和解决后果,通过肺部给予 IL-10 治疗得到有益的影响。

Post-endotoxin exposure-induced lung inflammation and resolution consequences beneficially impacted by lung-delivered IL-10 therapy.

机构信息

Department of Internal Medicine, College of Medicine, University of Nebraska Medical Center, Omaha, NE, USA.

Veterans Affairs Nebraska-Western Iowa Health Care System, Research Service, Omaha, NE, USA.

出版信息

Sci Rep. 2022 Oct 15;12(1):17338. doi: 10.1038/s41598-022-22346-2.

Abstract

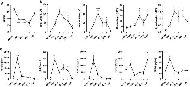
Although lung diseases typically result from long-term exposures, even a robust, one-time exposure can result in long-lasting consequences. Endotoxin is a ubiquitous environmental/occupational inflammatory agent often used to model airway inflammation. Using a murine model, the return to lung homeostasis following high dose inhalant lipopolysaccharide (LPS, 10-100 μg) exposure were delineated over 2 weeks. LPS-induced rapid weight loss, release of proinflammatory mediators, and inflammatory cell influx with prolonged persistence of activated macrophages CD11cCD11b and recruited/transitioning CD11cCD11b monocyte-macrophages out to 2 weeks. Next, lung-delivered recombinant (r) interleukin (IL)-10 was intratracheally administered for 3 doses initiated 5 h following LPS (10 μg) exposure for 2 days. IL-10 therapy reduced LPS-induced weight loss and increased blood glucose levels. Whereas there was no difference in LPS-induced bronchoalveolar lavage airway fluid cellular influx, total lung cell infiltrates were reduced (37%) with rIL-10 treatment. Post-LPS exposure treatment with rIL-10 strikingly reduced lavage fluid and lung homogenate levels of tumor necrosis factor-α (88% and 93% reduction, respectively), IL-6 (98% and 94% reduction), CXCL1 (66% and 75% reduction), and CXCL2 (47% and 67% reduction). LPS-induced recruited monocyte-macrophages (CD11cCD11b) were reduced (68%) with rIL-10. Correspondingly, LPS-induced lung tissue CCR2 inflammatory monocyte-macrophage were reduced with rIL-10. There were also reductions in LPS-induced lung neutrophils, lymphocyte subpopulations, collagen content, and vimentin expression. These findings support the importance of studying resolution processes for the development of treatment after unintended environmental/occupational biohazard exposures. Short-term, lung-delivered rIL-10 favorably hastened inflammatory recovery processes following acute, high dose inhalant LPS exposure.

摘要

尽管肺部疾病通常是由于长期暴露引起的,但即使是单次强烈暴露也可能导致持久的后果。内毒素是一种普遍存在的环境/职业性炎症因子,常被用于模拟气道炎症。通过使用一种小鼠模型,我们描绘了吸入高剂量脂多糖(LPS,10-100μg)暴露后肺部恢复到内稳态的过程,该过程持续了 2 周。LPS 诱导了快速的体重减轻、促炎介质的释放以及炎症细胞的涌入,并使激活的巨噬细胞 CD11cCD11b 和募集/转化的 CD11cCD11b 单核-巨噬细胞持续存在长达 2 周。接下来,在 LPS(10μg)暴露后 5 小时,通过气管内给予肺内递送的重组(r)白细胞介素(IL)-10 进行 3 次剂量治疗,持续 2 天。IL-10 治疗减少了 LPS 诱导的体重减轻和血糖水平升高。尽管 LPS 诱导的支气管肺泡灌洗液气道液细胞浸润没有差异,但 rIL-10 治疗减少了全肺细胞浸润(37%)。在 LPS 暴露后,rIL-10 治疗显著降低了灌洗液和肺匀浆中肿瘤坏死因子-α(分别减少 88%和 93%)、IL-6(分别减少 98%和 94%)、CXCL1(分别减少 66%和 75%)和 CXCL2(分别减少 47%和 67%)的水平。rIL-10 减少了 LPS 诱导的募集单核-巨噬细胞(CD11cCD11b)(68%)。相应地,rIL-10 减少了 LPS 诱导的肺组织 CCR2 炎性单核-巨噬细胞。LPS 诱导的肺中性粒细胞、淋巴细胞亚群、胶原蛋白含量和波形蛋白表达也减少。这些发现支持了研究意外环境/职业性生物危害暴露后治疗发展中消退过程的重要性。短期肺内递送 rIL-10 有利于加速急性高剂量吸入 LPS 暴露后的炎症恢复过程。

https://cdn.ncbi.nlm.nih.gov/pmc/blobs/7897/9569365/c365d596ab5b/41598_2022_22346_Fig1_HTML.jpg

文献AI研究员

20分钟写一篇综述,助力文献阅读效率提升50倍。

立即体验

用中文搜PubMed

大模型驱动的PubMed中文搜索引擎

马上搜索

文档翻译

学术文献翻译模型,支持多种主流文档格式。

立即体验