Suppr超能文献

评估叙利亚新诊断的核型正常的急性髓系白血病患者中突变状态的临床意义。

Evaluating the clinical significance of mutation status in Syrian newly diagnosed acute myeloid leukemia patients with normal karyotype.

作者信息

Moualla Yahia, Moassass Faten, Al-Halabi Bassel, Al-Achkar Walid, Georgeos Michael, Yazigi Haissam, Khamis Atieh

机构信息

Department of Laboratory Diagnosis, Faculty of Pharmacy, Tishreen University, Ministry of Higher Education, Lattakia, Syria.

Department of Molecular Biology and Biotechnology, Human Genetics Division, Atomic Energy Commission, Damascus, Syria.

出版信息

Heliyon. 2022 Nov 25;8(11):e11858. doi: 10.1016/j.heliyon.2022.e11858. eCollection 2022 Nov.

Abstract

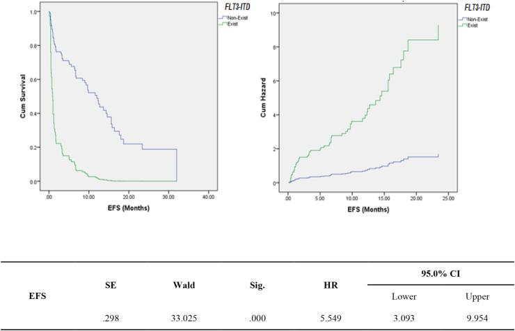
The FMS-like tyrosine kinase-3 internal tandem duplication (-ITD) is one of the most prevalent mutations, affecting between 20 and 30 percent of cases in patients with acute myeloid leukemia (AML). The Patients with a -ITD mutation have a poor prognosis. In the present study, we investigated the (ITD-TKD) mutations in 100 newly adult Syrian patients with AML-Normal karyotype (NK). Our results revealed that prevalence of -ITD mutation was 24%. Interestingly, 20 patients had a typical duplication mutation and four patients had different mutations. From those four mentioned patients, two of them carried a 39 base pair (bp) duplication in different location: (c.1838_1877dup39, p.591-603dup) and (c.1836_1874 dup 39, p.591-603dup), the third patient, showed -ITD duplication and a newly insertion together, this insertion was not demonstrated before: (c.1842_1865dup24, c.1865_1866insGAA). Finally, the fourth patient exhibited a duplication of 21bp (c.1855_1875dup21, p.597-603dup). In addition, statistically significant differences were observed for the relation between the presence of -ITD mutation and lactate dehydrogenase (LDH) level, overall survival (OS), relapse, and event free survival (EFS). We demonstrated that our patients with -ITD mutation had a poor prognosis. Also, the frequency of -TKD mutation was low 2% and no compound between the two mutations was found, as individuals showed to carry the two mutations were not detected. These findings are likely useful for a better understanding of molecular leukemogenetic steps in AML-NK patients and may be beneficial for clinical relevance for risk grouping, study design and choice of therapy in Syrian population.

摘要

FMS样酪氨酸激酶3内部串联重复(-ITD)是最常见的突变之一,在急性髓系白血病(AML)患者中,20%至30%的病例受其影响。携带-ITD突变的患者预后较差。在本研究中,我们调查了100例新诊断的成年叙利亚AML-正常核型(NK)患者中的(ITD-TKD)突变。我们的结果显示,-ITD突变的发生率为24%。有趣的是,20例患者有典型的重复突变,4例患者有不同的突变。在这4例提及的患者中,2例在不同位置有39个碱基对(bp)的重复:(c.1838_1877dup39,p.591-603dup)和(c.1836_1874 dup 39,p.591-603dup),第3例患者显示-ITD重复和一个新的插入,此插入以前未被证实:(c.1842_1865dup24,c.1865_1866insGAA)。最后,第4例患者表现出21bp的重复(c.1855_1875dup21,p.597-603dup)。此外,观察到-ITD突变的存在与乳酸脱氢酶(LDH)水平、总生存期(OS)、复发和无事件生存期(EFS)之间的关系存在统计学显著差异。我们证明,携带-ITD突变的患者预后较差。此外,-TKD突变的频率较低,为2%,未发现两种突变之间的复合情况,因为未检测到携带两种突变的个体。这些发现可能有助于更好地理解AML-NK患者的分子白血病发生步骤,并且可能对叙利亚人群的风险分组、研究设计和治疗选择的临床相关性有益。

https://cdn.ncbi.nlm.nih.gov/pmc/blobs/84a3/9703599/6d99c1b682bb/gr1.jpg

文献AI研究员

20分钟写一篇综述,助力文献阅读效率提升50倍。

立即体验

用中文搜PubMed

大模型驱动的PubMed中文搜索引擎

马上搜索

文档翻译

学术文献翻译模型,支持多种主流文档格式。

立即体验