Suppr超能文献

三氮唑核苷——一种新型有效的抗病毒药物。

Triazavirin-A Novel Effective Antiviral Drug.

机构信息

Department of Organic and Biomolecular Chemistry, Institute of Chemical Engineering, Ural Federal University, 620002 Ekaterinburg, Russia.

Institute of Organic Synthesis, Ural Branch of the Russian Academy of Sciences, 620990 Ekaterinburg, Russia.

出版信息

Int J Mol Sci. 2022 Nov 22;23(23):14537. doi: 10.3390/ijms232314537.

Abstract

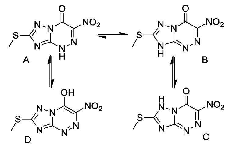
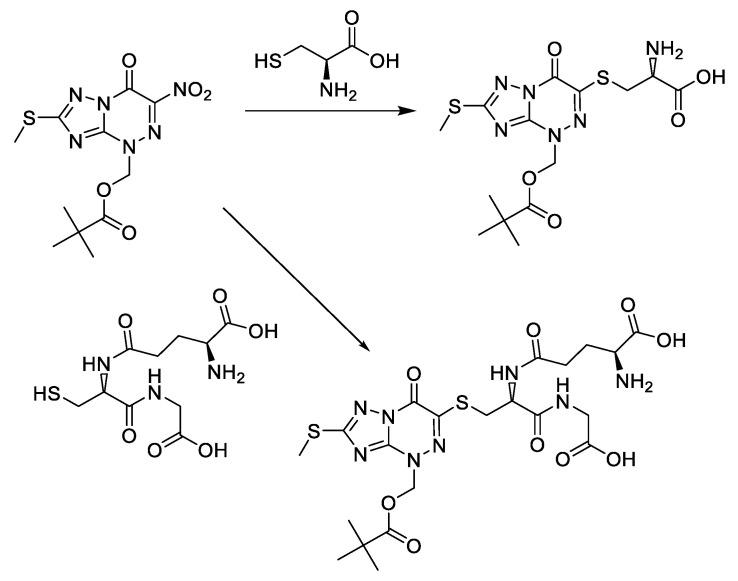
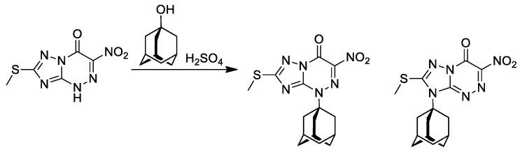
This review outlines the data of numerous studies relating to the broad-spectrum antiviral drug Triazavirin that was launched on the Russian pharmaceutical market in 2014 as an anti-influenza drug (the international non-patented name is Riamilovir). The range of antiviral activity of Triazavirin has been significantly expanded during recent years; in particular, it has been shown that Triazavirin exhibits activity against tick-borne encephalitis, Rift Valley fever, West Nile fever, and other infections of viral etiology. This drug has been approved for treatment of influenza and acute respiratory infections by the Russian Ministry of Health on the basis of comprehensive clinical trials involving over 450 patients. Triazavirin was found to be a highly effective and well-tolerated drug, allowing its over-the-counter sale. The recently published data on the use of Triazavirin in clinical practice for the treatment of patients with COVID-19 are discussed, with special attention paid to potential biological targets for this drug.

摘要

这篇综述概述了大量与广谱抗病毒药物三氮唑核苷相关的研究数据,该药物于 2014 年在俄罗斯上市,作为一种抗流感药物(国际非专利名称为利巴韦林)。近年来,三氮唑核苷的抗病毒活性范围已经显著扩大;特别是,已经证明三氮唑核苷对蜱传脑炎、裂谷热、西尼罗河热和其他病毒病因引起的感染具有活性。该药物已获得俄罗斯卫生部批准,可用于治疗流感和急性呼吸道感染,这是基于涉及超过 450 名患者的综合临床试验。研究发现,三氮唑核苷是一种高效且耐受性良好的药物,允许其在柜台销售。本文还讨论了最近发表的关于在临床实践中使用三氮唑核苷治疗 COVID-19 患者的相关数据,特别关注了该药物的潜在生物学靶点。

https://cdn.ncbi.nlm.nih.gov/pmc/blobs/7844/9738222/058f1e8480e0/ijms-23-14537-sch001.jpg

文献AI研究员

20分钟写一篇综述,助力文献阅读效率提升50倍。

立即体验

用中文搜PubMed

大模型驱动的PubMed中文搜索引擎

马上搜索

文档翻译

学术文献翻译模型,支持多种主流文档格式。

立即体验