Suppr超能文献

俄罗斯伊尔库茨克地区1型糖尿病(T1DM)肾病早期年轻育龄男性血浆和红细胞中脂质、蛋白质、DNA氧化损伤及抗氧化防御的受试者工作特征(ROC)分析

Receiver Operator Characteristic (ROC) Analysis of Lipids, Proteins, DNA Oxidative Damage, and Antioxidant Defense in Plasma and Erythrocytes of Young Reproductive-Age Men with Early Stages of Type 1 Diabetes Mellitus (T1DM) Nephropathy in the Irkutsk Region, Russia.

作者信息

Darenskaya Marina, Chugunova Elena, Kolesnikov Sergey, Semenova Natalya, Michalevich Isay, Nikitina Olga, Lesnaya Anastasya, Kolesnikova Lyubov

机构信息

Department of Personalized and Preventive Medicine, Scientific Centre for Family Health and Human Reproduction Problems, 664003 Irkutsk, Russia.

出版信息

Metabolites. 2022 Dec 16;12(12):1282. doi: 10.3390/metabo12121282.

Abstract

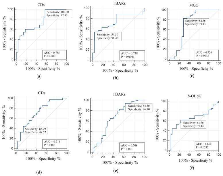
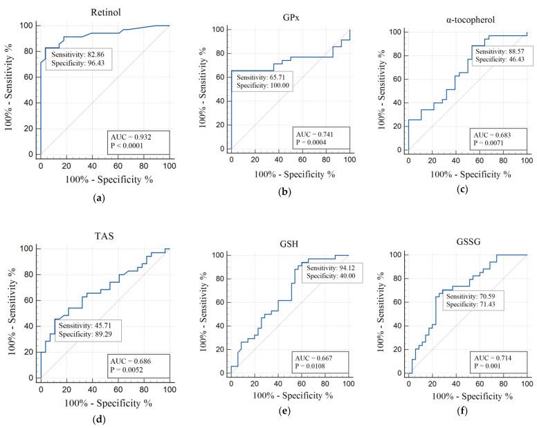
Oxidative stress plays a leading role in the pathogenesis of diabetic nephropathy. However, many aspects of oxidative stress reactions in the initial stages of this disease are not fully understood. The men cohort is of particular interest because of the severe effects of diabetes on their urogenital system. The aim of this study is to assess the intensity of lipids, proteins, DNA oxidative damage, blood antioxidant defense enzymatic, and activity of non-enzymatic components in men with type 1 diabetes mellitus (T1DM) in the early stages of diabetic nephropathy using receiver operator characteristic (ROC) analysis. This study included eighty-nine reproductive-age men in the initial stages of diabetic nephropathy (DN) and thirty-nine age- and sex-matched individuals not suffering from glycemic disorders. The DN patients were divided into two subgroups: stage 1 patients (urinary albumin < 30 mg/day and albumin/creatinine ratio < 3 mg/mmol (n = 45)) and stage 2 patients (urinary albumin 30−300 mg/day and albumin/creatinine ratio 3−30 mg/mmol (n = 44)). Levels of oxidative damage products (conjugated dienes (CDs), thiobarbituric acid reactants (TBARs), methylglyoxal (MGO), and 8-hydroxy-2’-deoxyguanosine (8-OHdG)) and antioxidants (glutathione peroxidase (GPx), glutathione S-transferases π (GSTp), glutathione reductase (GR), copper and zinc-containing superoxide dismutase 1 (SOD-1), total antioxidant status (TAS), α-tocopherol, retinol, reduced glutathione (GSH), and oxidative glutathione (GSSG)) were estimated in plasma and erythrocytes. Oxidative damage to cellular structures (higher values of median CDs (1.68 µmol/L; p = 0.003), MGO (3.38 mg/L; p < 0.001) in the stage 1 group and CDs (2.28 µmol/L; p < 0.0001), MGO (3.52 mg/L; p < 0.001), 8-OHdG (19.44 ng/mL; p = 0.010) in the stage 2 group) and changes in the antioxidant defense system (lower values of TAS (1.14 units; p = 0.011), α-tocopherol (12.17 µmol/L; p = 0.009), GPx (1099 units; p = 0.0003) and elevated levels of retinol (1.35 µmol/L; p < 0.001) in the group with stage 1; lower values of α-tocopherol (12.65 µmol/L; p = 0.033), GPx (1029.7 units; p = 0.0001) and increased levels of GR (292.75 units; p < 0.001), GSH (2.54 mmol/L; p = 0.010), GSSG (2.31 mmol/L; p < 0.0001), and retinol (0.81 µmol/L; p = 0.005) in the stage 2 group) were identified. The ROC analysis established that the following indicators have the highest diagnostic significance for stage 1 diabetic nephropathy: CDs (AUC 0.755; p < 0.0001), TBARs (AUC 0.748; p = 0.0001), MGO (AUC 0.720; p = 0.0033), retinol (AUC 0.932; p < 0.0001), GPx (AUC 0.741; p = 0.0004), α-tocopherol (AUC 0.683; p = 0.0071), and TAS (AUC 0.686; p = 0.0052) and the following for stage 2 diabetic nephropathy: CDs (AUC 0.714; p = 0.001), TBARs (AUC 0.708; p = 0.001), 8-OHdG (AUC 0.658; p = 0.0232), GSSG (AUC 0.714; p = 0.001), and GSH (AUC 0.667; p = 0.0108). We conclude that changes in indicators of damage to lipids, proteins, DNA, and the insufficiency of antioxidant defense factors already manifest in the first stage of diabetic nephropathy in men with T1DM. The ROC established which parameters have the greatest diagnostic significance for stages 1 and 2 of diabetic nephropathy, which may be utilized as additional criteria for defining men with T1DM as being in the risk group for the development of initial manifestations of the disease and thus allow for substantiating appropriate approaches to optimize preventive measures.

摘要

氧化应激在糖尿病肾病的发病机制中起主导作用。然而,该疾病初始阶段氧化应激反应的许多方面尚未完全明确。男性群体尤其值得关注,因为糖尿病对其泌尿生殖系统有严重影响。本研究旨在通过受试者工作特征(ROC)分析,评估1型糖尿病(T1DM)男性在糖尿病肾病早期阶段脂质、蛋白质、DNA的氧化损伤强度、血液抗氧化防御酶以及非酶成分的活性。本研究纳入了89名处于糖尿病肾病(DN)初始阶段的育龄男性以及39名年龄和性别匹配、无血糖紊乱的个体。DN患者被分为两个亚组:1期患者(尿白蛋白<30 mg/天且白蛋白/肌酐比值<3 mg/mmol,n = 45)和2期患者(尿白蛋白30 - 300 mg/天且白蛋白/肌酐比值3 - 30 mg/mmol,n = 44)。对血浆和红细胞中的氧化损伤产物(共轭二烯(CDs)、硫代巴比妥酸反应物(TBARs)、甲基乙二醛(MGO)和8 - 羟基 - 2'-脱氧鸟苷(8 - OHdG))以及抗氧化剂(谷胱甘肽过氧化物酶(GPx)、谷胱甘肽S - 转移酶π(GSTp)、谷胱甘肽还原酶(GR)、铜锌超氧化物歧化酶1(SOD - 1)、总抗氧化状态(TAS)、α - 生育酚、视黄醇、还原型谷胱甘肽(GSH)和氧化型谷胱甘肽(GSSG))水平进行了评估。发现细胞结构的氧化损伤(1期组中CDs中位数较高(1.68 µmol/L;p = 0.003)、MGO(3.38 mg/L;p < 0.001),2期组中CDs(2.28 µmol/L;p < 0.0001)、MGO(3.52 mg/L;p < 0.001)、8 - OHdG(19.44 ng/mL;p = 0.010))以及抗氧化防御系统的变化(1期组中TAS较低(1.14单位;p =

https://cdn.ncbi.nlm.nih.gov/pmc/blobs/64cd/9785540/e54e80760cde/metabolites-12-01282-g001.jpg

文献AI研究员

20分钟写一篇综述,助力文献阅读效率提升50倍。

立即体验

用中文搜PubMed

大模型驱动的PubMed中文搜索引擎

马上搜索

文档翻译

学术文献翻译模型,支持多种主流文档格式。

立即体验