Suppr超能文献

减轻树枝状大分子的心脏毒性:血管紧张素-(1-7)通过其Mas受体改善聚酰胺-胺型树枝状大分子诱导的离体哺乳动物心脏功能障碍。

Mitigating Cardiotoxicity of Dendrimers: Angiotensin-(1-7) via Its Mas Receptor Ameliorates PAMAM-Induced Cardiac Dysfunction in the Isolated Mammalian Heart.

作者信息

Akhtar Saghir, Babiker Fawzi, Akhtar Usman A, Benter Ibrahim F

机构信息

College of Medicine, QU Health, Qatar University, Doha P.O. Box 2713, Qatar.

Departments of Physiology, Faculty of Medicine, Health Science Center, Kuwait University, Safat P.O. Box 24923, Kuwait.

出版信息

Pharmaceutics. 2022 Dec 1;14(12):2673. doi: 10.3390/pharmaceutics14122673.

Abstract

AIM

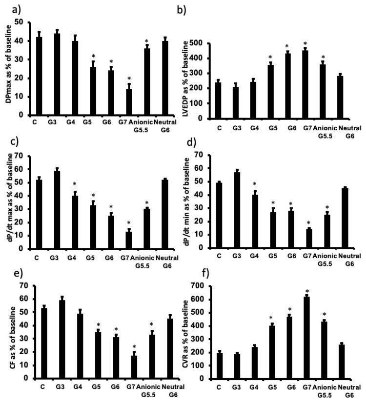
The influence of the physiochemical properties of dendrimer nanoparticles on cardiac contractility and hemodynamics are not known. Herein, we investigated (a) the effect of polyamidoamine (PAMAM) dendrimer generation (G7, G6, G5, G4 and G3) and surface chemistry (-NH, -COOH and -OH) on cardiac function in mammalian hearts following ischemia-reperfusion (I/R) injury, and (b) determined if any PAMAM-induced cardiotoxicity could be mitigated by Angiotensin-(1-7) (Ang-(1-7), a cardioprotective agent.

METHODS

Hearts isolated from male Wistar rats underwent regional I/R and/or treatment with different PAMAM dendrimers, Ang-(1-7) or its MAS receptors antagonists. Thirty minutes of regional ischemia through ligation of the left anterior descending coronary artery was followed by 30 min of reperfusion. All treatments were initiated 5 min prior to reperfusion and maintained during the first 10 min of reperfusion. Cardiac function parameters for left ventricular contractility, hemodynamics and vascular dynamics data were acquired digitally, whereas cardiac enzymes and infarct size were used as measures of cardiac injury.

RESULTS

Treatment of isolated hearts with increasing doses of G7 PAMAM dendrimer progressively exacerbated recovery of cardiac contractility and hemodynamic parameters post-I/R injury. Impairment of cardiac function was progressively less on decreasing dendrimer generation with G3 exhibiting little or no cardiotoxicity. Cationic PAMAMs (-NH) were more toxic than anionic (-COOH), with neutral PAMAMs (-OH) exhibiting the least cardiotoxicity. Cationic G7 PAMAM-induced cardiac dysfunction was significantly reversed by Ang-(1-7) administration. These cardioprotective effects of Ang-(1-7) were significantly revoked by administration of the MAS receptor antagonists, A779 and D-Pro-Ang-(1-7).

CONCLUSIONS

PAMAM dendrimers can impair the recovery of hearts from I/R injury in a dose-, dendrimer-generation-(size) and surface-charge dependent manner. Importantly, PAMAM-induced cardiotoxicity could be mitigated by Ang-(1-7) acting through its MAS receptor. Thus, this study highlights the activation of Ang-(1-7)/Mas receptor axis as a novel strategy to overcome dendrimer-induced cardiotoxicity.

摘要

目的

树枝状聚合物纳米颗粒的物理化学性质对心脏收缩性和血流动力学的影响尚不清楚。在此,我们研究了(a)聚酰胺胺(PAMAM)树枝状聚合物代数(G7、G6、G5、G4和G3)以及表面化学性质(-NH、-COOH和-OH)对哺乳动物心脏缺血再灌注(I/R)损伤后心脏功能的影响,以及(b)确定血管紧张素-(1-7)(Ang-(1-7),一种心脏保护剂)是否可以减轻任何PAMAM诱导的心脏毒性。

方法

从雄性Wistar大鼠分离的心脏进行局部I/R和/或用不同的PAMAM树枝状聚合物、Ang-(1-7)或其MAS受体拮抗剂进行处理。通过结扎左冠状动脉前降支进行30分钟的局部缺血,随后再灌注30分钟。所有处理均在再灌注前5分钟开始,并在再灌注的前10分钟内维持。数字化获取左心室收缩性、血流动力学和血管动力学数据的心脏功能参数,而心脏酶和梗死面积用作心脏损伤的指标。

结果

用递增剂量的G7 PAMAM树枝状聚合物处理离体心脏会逐渐加剧I/R损伤后心脏收缩性和血流动力学参数的恢复。随着树枝状聚合物代数的降低,心脏功能损害逐渐减轻,G3几乎没有或没有心脏毒性。阳离子PAMAMs(-NH)比阴离子(-COOH)毒性更大,中性PAMAMs(-OH)表现出最小的心脏毒性。给予Ang-(1-7)可显著逆转阳离子G7 PAMAM诱导的心脏功能障碍。给予MAS受体拮抗剂A779和D-Pro-Ang-(1-7)可显著消除Ang-(1-7)的这些心脏保护作用。

结论

PAMAM树枝状聚合物可依剂量、树枝状聚合物代数(大小)和表面电荷的不同,损害心脏从I/R损伤中的恢复。重要的是,Ang-(1-7)通过其MAS受体发挥作用可减轻PAMAM诱导的心脏毒性。因此,本研究强调激活Ang-(1-7)/Mas受体轴是克服树枝状聚合物诱导的心脏毒性的一种新策略。

https://cdn.ncbi.nlm.nih.gov/pmc/blobs/6cc8/9781033/1f279a4e8c25/pharmaceutics-14-02673-g001.jpg

文献AI研究员

20分钟写一篇综述,助力文献阅读效率提升50倍。

立即体验

用中文搜PubMed

大模型驱动的PubMed中文搜索引擎

马上搜索

文档翻译

学术文献翻译模型,支持多种主流文档格式。

立即体验