Suppr超能文献

中国上海妊娠早期血浆微量元素浓度与妊娠期糖尿病的关系。

Association between Plasma Trace Element Concentrations in Early Pregnancy and Gestational Diabetes Mellitus in Shanghai, China.

机构信息

The International Peace Maternity and Child Health Hospital, School of Medicine, Shanghai Jiao Tong University, Shanghai 200030, China.

Shanghai Key Laboratory of Embryo Original Diseases, Shanghai 200030, China.

出版信息

Nutrients. 2022 Dec 27;15(1):115. doi: 10.3390/nu15010115.

Abstract

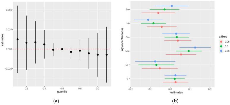
(1) Background: Trace elements play important roles in gestational diabetes mellitus (GDM), but the results from reported studies are inconsistent. This study aimed to examine the association between maternal exposure to V, Cr, Mn, Co, Ni, and Se in early pregnancy and GDM. (2) Methods: A nested case-control study with 403 GDM patients and 763 controls was conducted. Trace elements were measured using inductively coupled plasma-mass spectrometry in plasma collected from pregnant women in the first trimester of gestation. We used several statistical methods to explore the association between element exposure and GDM risk. (3) Results: Plasma V and Ni were associated with increased and decreased risk of GDM, respectively, in the single-element model. V and Mn were found to be positively, and Ni was found to be negatively associated with GDM risk in the multi-element model. Mn may be the main contributor to GDM risk and Ni the main protective factor against GDM risk in the quantile g computation (QGC). 6.89 μg/L~30.88 μg/L plasma Ni was identified as a safe window for decreased risk of GDM. (4) Conclusions: V was positively associated with GDM risk, while Ni was negatively associated. Ni has dual effects on GDM risk.

摘要

(1) 背景:微量元素在妊娠糖尿病(GDM)中发挥重要作用,但报告的研究结果不一致。本研究旨在探讨孕早期母体暴露于 V、Cr、Mn、Co、Ni 和 Se 与 GDM 的关系。

(2) 方法:采用巢式病例对照研究,共纳入 403 例 GDM 患者和 763 例对照。在妊娠早期采集孕妇血浆,采用电感耦合等离子体质谱法测定微量元素。我们使用多种统计方法探讨元素暴露与 GDM 风险的关系。

(3) 结果:在单因素模型中,血浆 V 和 Ni 与 GDM 风险的增加和降低相关。在多因素模型中,V 和 Mn 与 GDM 风险呈正相关,Ni 与 GDM 风险呈负相关。Mn 可能是 GDM 风险的主要贡献因素,Ni 可能是 GDM 风险的主要保护因素在分位数 g 计算(QGC)中。6.89μg/L~30.88μg/L 血浆 Ni 被确定为降低 GDM 风险的安全窗口。

(4) 结论:V 与 GDM 风险呈正相关,而 Ni 则呈负相关。Ni 对 GDM 风险具有双重作用。

https://cdn.ncbi.nlm.nih.gov/pmc/blobs/4578/9824253/e3c7657859e0/nutrients-15-00115-g001.jpg

文献AI研究员

20分钟写一篇综述,助力文献阅读效率提升50倍。

立即体验

用中文搜PubMed

大模型驱动的PubMed中文搜索引擎

马上搜索

文档翻译

学术文献翻译模型,支持多种主流文档格式。

立即体验