Suppr超能文献

人乳头瘤病毒疫苗最新情况

Updates on HPV Vaccination.

作者信息

Illah Ojone, Olaitan Adeola

机构信息

Women's Cancer Department, EGA Institute for Women's Health, University College London, London WC1E 6BT, UK.

出版信息

Diagnostics (Basel). 2023 Jan 9;13(2):243. doi: 10.3390/diagnostics13020243.

Abstract

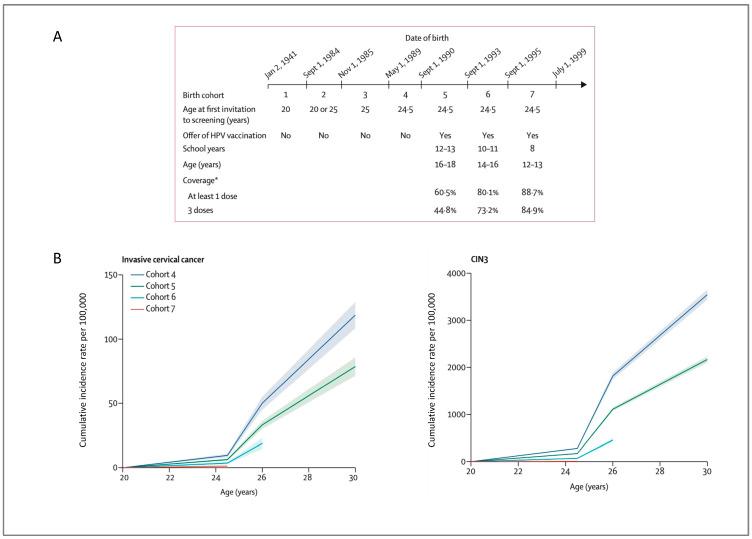
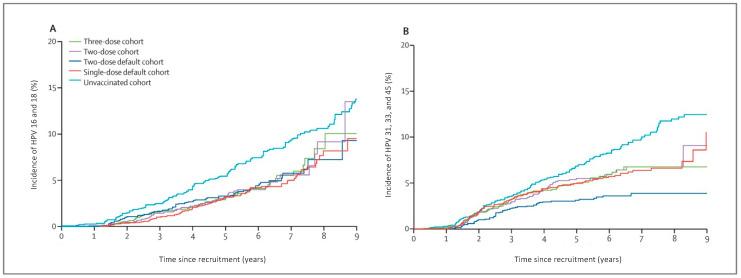
Cervical cancer still poses a significant global challenge. Developed countries have mitigated this challenge by the introduction of structured screening programmes and, more recently, the HPV vaccine. Countries that have successfully introduced national HPV vaccination programmes are on course for cervical cancer elimination in a few decades. In developing countries that lack structured screening and HPV vaccination programmes, cervical cancer remains a major cause of morbidity and mortality. The HPV vaccine is key to addressing the disproportionate distribution of cervical cancer incidence, with much to be gained from increasing vaccine coverage and uptake globally. This review covers the history and science of the HPV vaccine, its efficacy, effectiveness and safety, and some of the considerations and challenges posed to the achievement of global HPV vaccination coverage and the consequent elimination of cervical cancer.

摘要

宫颈癌仍然是一项重大的全球性挑战。发达国家通过推行结构化筛查计划以及最近引入的人乳头瘤病毒(HPV)疫苗,缓解了这一挑战。成功推行全国性HPV疫苗接种计划的国家,有望在几十年内消除宫颈癌。在缺乏结构化筛查和HPV疫苗接种计划的发展中国家,宫颈癌仍然是发病和死亡的主要原因。HPV疫苗是解决宫颈癌发病率分布不均问题的关键,在全球范围内提高疫苗覆盖率和接种率将带来诸多益处。本综述涵盖了HPV疫苗的历史与科学、其有效性、效力和安全性,以及在实现全球HPV疫苗接种覆盖率并进而消除宫颈癌方面所面临的一些考量和挑战。

https://cdn.ncbi.nlm.nih.gov/pmc/blobs/1555/9857409/f96236be4a43/diagnostics-13-00243-g001.jpg

文献AI研究员

20分钟写一篇综述,助力文献阅读效率提升50倍。

立即体验

用中文搜PubMed

大模型驱动的PubMed中文搜索引擎

马上搜索

文档翻译

学术文献翻译模型,支持多种主流文档格式。

立即体验