Suppr超能文献

新型 7-氯-4-氨基喹啉-苯并咪唑杂合体作为癌细胞生长抑制剂的研究:合成、抗增殖活性、体内 ADME 预测和对接。

Novel 7-Chloro-4-aminoquinoline-benzimidazole Hybrids as Inhibitors of Cancer Cells Growth: Synthesis, Antiproliferative Activity, in Silico ADME Predictions, and Docking.

机构信息

Department of Chemistry and Biochemistry, Faculty of Veterinary Medicine, University of Zagreb, HR-10000 Zagreb, Croatia.

Department of Medicinal Chemistry, Biochemistry and Clinical Chemistry, Faculty of Medicine Osijek, Josip Juraj Strossmayer University of Osijek, HR-31000 Osijek, Croatia.

出版信息

Molecules. 2023 Jan 5;28(2):540. doi: 10.3390/molecules28020540.

Abstract

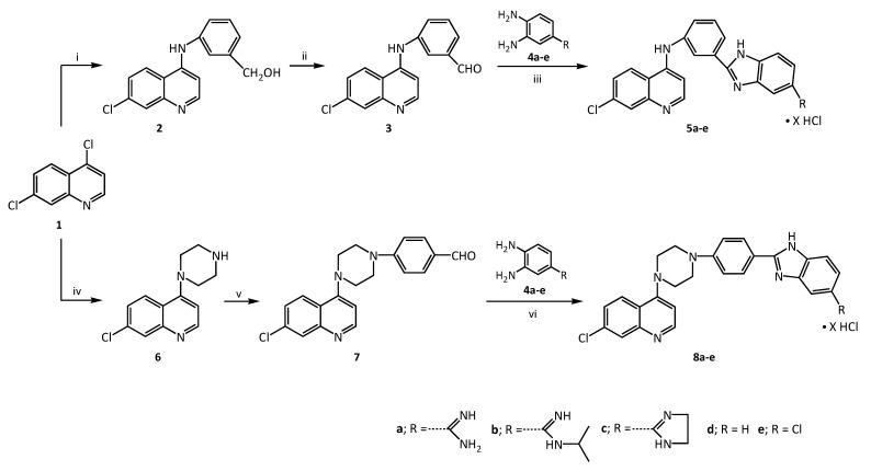
In this study, new 7-chloro-4-aminoquinoline-benzimidazole compounds were synthesized and characterized by NMR, MS, and elemental analysis. These novel hybrids differ in the type of linker and in the substituent on the benzimidazole moiety. Their antiproliferative activities were evaluated on one non-tumor (MDCK1) and seven selected tumor (CaCo-2, MCF-7, CCRF-CEM, Hut78, THP-1, and Raji) cell lines by MTT test and flow cytometry analysis. The compounds with different types of linkers and an unsubstituted benzimidazole ring, , , and showed strong cytotoxic activity (the GI ranged from 0.4 to 8 µM) and effectively suppressed the cell cycle progression in the leukemia and lymphoma cells. After 24 h of treatment, compounds and induced the disruption of the mitochondrial membrane potential as well as apoptosis in HuT78 cells. The drug-like properties and bioavailability of the compounds were calculated using the Swiss ADME web tool, and a molecular docking study was performed on tyrosine-protein kinase c-Src (PDB: 3G6H). Compound showed good solubility and permeability and bound to c-Src with an energy of -119.99 kcal/mol, forming hydrogen bonds with Glu310 and Asp404 in the active site and other residues with van der Waals interactions. The results suggest that compound could be a leading compound in the further design of effective antitumor drugs.

摘要

在这项研究中,我们合成并通过 NMR、MS 和元素分析对新的 7-氯-4-氨基喹啉-苯并咪唑化合物进行了表征。这些新的杂合体在连接体的类型和苯并咪唑部分的取代基上有所不同。通过 MTT 试验和流式细胞术分析,我们在一个非肿瘤(MDCK1)和七个选定的肿瘤(CaCo-2、MCF-7、CCRF-CEM、Hut78、THP-1 和 Raji)细胞系上评估了这些化合物的抗增殖活性。具有不同类型连接体和未取代苯并咪唑环的化合物 、 、 和 表现出很强的细胞毒性(GI 范围为 0.4 至 8 μM),并有效抑制了白血病和淋巴瘤细胞的细胞周期进程。处理 24 小时后,化合物 和 诱导 HuT78 细胞中线粒体膜电位的破坏以及细胞凋亡。我们使用瑞士 ADME 网络工具计算了化合物的类药性和生物利用度,并对酪氨酸蛋白激酶 c-Src(PDB:3G6H)进行了分子对接研究。化合物 表现出良好的溶解性和渗透性,与 c-Src 的结合能为-119.99 kcal/mol,与活性位点中的 Glu310 和 Asp404 以及其他与范德华相互作用的残基形成氢键。结果表明,化合物 可能成为进一步设计有效抗肿瘤药物的先导化合物。

https://cdn.ncbi.nlm.nih.gov/pmc/blobs/cc49/9866588/486dbd37d1ea/molecules-28-00540-g001.jpg

文献AI研究员

20分钟写一篇综述,助力文献阅读效率提升50倍。

立即体验

用中文搜PubMed

大模型驱动的PubMed中文搜索引擎

马上搜索

文档翻译

学术文献翻译模型,支持多种主流文档格式。

立即体验