Suppr超能文献

咪唑:药物化学中 privileged 结构的合成、功能化及物理化学性质。

Imidazole: Synthesis, Functionalization and Physicochemical Properties of a Privileged Structure in Medicinal Chemistry.

机构信息

Laboratório de Avaliação e Síntese de Substâncias Bioativas (LASSBio), Instituto de Ciências Biomédicas, Universidade Federal do Rio de Janeiro, Rio de Janeiro 21941-909, Brazil.

Programa de Pós-Graduação em Farmacologia e Química Medicinal, Instituto de Ciências Biomédicas, Universidade Federal do Rio de Janeiro, Rio de Janeiro 21941-909, Brazil.

出版信息

Molecules. 2023 Jan 13;28(2):838. doi: 10.3390/molecules28020838.

Abstract

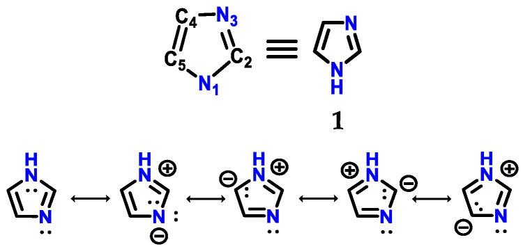
Imidazole was first synthesized by Heinrich Debus in 1858 and was obtained by the reaction of glyoxal and formaldehyde in ammonia, initially called glyoxaline. The current literature provides much information about the synthesis, functionalization, physicochemical characteristics and biological role of imidazole. Imidazole is a structure that, despite being small, has a unique chemical complexity. It is a nucleus that is very practical and versatile in its construction/functionalization and can be considered a rich source of chemical diversity. Imidazole acts in extremely important processes for the maintenance of living organisms, such as catalysis in enzymatic processes. Imidazole-based compounds with antibacterial, anti-inflammatory, antidiabetic, antiparasitic, antituberculosis, antifungal, antioxidant, antitumor, antimalarial, anticancer, antidepressant and many others make up the therapeutic arsenal and new bioactive compounds proposed in the most diverse works. The interest and importance of imidazole-containing analogs in the field of medicinal chemistry is remarkable, and the understanding from the development of the first blockbuster drug cimetidine explores all the chemical and biological concepts of imidazole in the context of research and development of new drugs.

摘要

咪唑最早由 Heinrich Debus 于 1858 年合成,通过乙二醛和甲醛在氨中的反应得到,最初称为乙二嗪。目前的文献提供了大量关于咪唑的合成、功能化、物理化学特性和生物学作用的信息。咪唑是一种结构,尽管很小,但具有独特的化学复杂性。它是一种非常实用且多功能的核,在构建/功能化方面非常实用,可以被认为是化学多样性的丰富来源。咪唑在维持生物体的极其重要的过程中发挥作用,例如酶促过程中的催化作用。基于咪唑的化合物具有抗菌、抗炎、抗糖尿病、抗寄生虫、抗结核、抗真菌、抗氧化、抗肿瘤、抗疟原虫、抗癌、抗抑郁等作用,构成了治疗武器库,并在最多种多样的工作中提出了新的生物活性化合物。含咪唑类似物在药物化学领域的兴趣和重要性是显著的,从第一个重磅炸弹药物西咪替丁的开发中可以看出,在新药研发的背景下,人们对咪唑的所有化学和生物学概念都进行了探索。

https://cdn.ncbi.nlm.nih.gov/pmc/blobs/6f94/9865940/324a9b74b8a6/molecules-28-00838-g001.jpg

文献AI研究员

20分钟写一篇综述,助力文献阅读效率提升50倍。

立即体验

用中文搜PubMed

大模型驱动的PubMed中文搜索引擎

马上搜索

文档翻译

学术文献翻译模型,支持多种主流文档格式。

立即体验