Suppr超能文献

轨迹、导纳和肌电触发的外骨骼运动控制对人机外骨骼交互影响的基准测试。

Benchmarking the Effects on Human-Exoskeleton Interaction of Trajectory, Admittance and EMG-Triggered Exoskeleton Movement Control.

机构信息

Neural Rehabilitation Group, Cajal Institute, Spanish National Research Council (CSIC), 28002 Madrid, Spain.

Systems Engineering and Automation Department, Carlos III University of Madrid, 28903 Madrid, Spain.

出版信息

Sensors (Basel). 2023 Jan 10;23(2):791. doi: 10.3390/s23020791.

Abstract

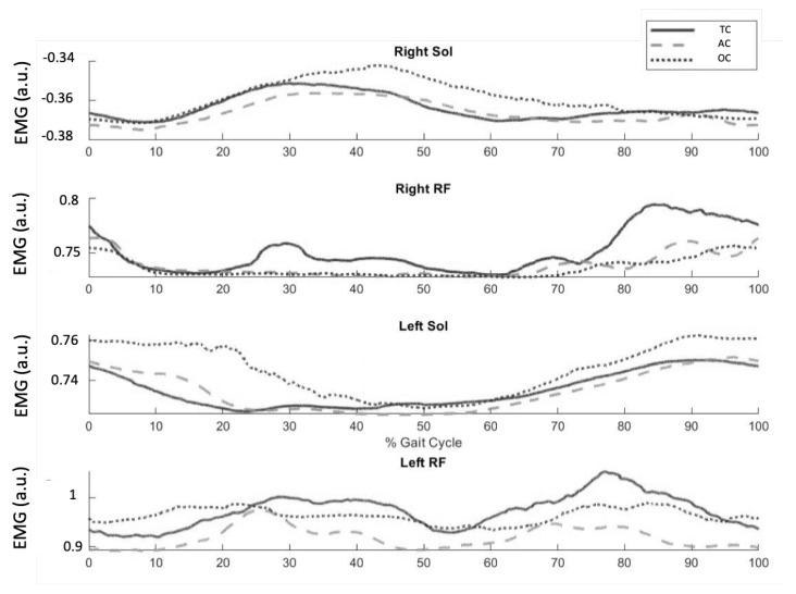
Nowadays, robotic technology for gait training is becoming a common tool in rehabilitation hospitals. However, its effectiveness is still controversial. Traditional control strategies do not adequately integrate human intention and interaction and little is known regarding the impact of exoskeleton control strategies on muscle coordination, physical effort, and user acceptance. In this article, we benchmarked three types of exoskeleton control strategies in a sample of seven healthy volunteers: trajectory assistance (TC), compliant assistance (AC), and compliant assistance with EMG-Onset stepping control (OC), which allows the user to decide when to take a step during the walking cycle. This exploratory study was conducted within the EUROBENCH project facility. Experimental procedures and data analysis were conducted following EUROBENCH's protocols. Specifically, exoskeleton kinematics, muscle activation, heart and breathing rates, skin conductance, as well as user-perceived effort were analyzed. Our results show that the OC controller showed robust performance in detecting stepping intention even using a corrupt EMG acquisition channel. The AC and OC controllers resulted in similar kinematic alterations compared to the TC controller. Muscle synergies remained similar to the synergies found in the literature, although some changes in muscle contribution were found, as well as an overall increase in agonist-antagonist co-contraction. The OC condition led to the decreased mean duration of activation of synergies. These differences were not reflected in the overall physiological impact of walking or subjective perception. We conclude that, although the AC and OC walking conditions allowed the users to modulate their walking pattern, the application of these two controllers did not translate into significant changes in the overall physiological cost of walking nor the perceived experience of use. Nonetheless, results suggest that both AC and OC controllers are potentially interesting approaches that can be explored as gait rehabilitation tools. Furthermore, the INTENTION project is, to our knowledge, the first study to benchmark the effects on human-exoskeleton interaction of three different exoskeleton controllers, including a new EMG-based controller designed by us and never tested in previous studies, which has made it possible to provide valuable third-party feedback on the use of the EUROBENCH facility and testbed, enriching the apprenticeship of the project consortium and contributing to the scientific community.

摘要

如今,用于步态训练的机器人技术在康复医院中已成为一种常见工具。然而,其有效性仍存在争议。传统的控制策略不能充分整合人的意图和交互作用,对于外骨骼控制策略对肌肉协调性、体力消耗和用户接受度的影响知之甚少。在本文中,我们在一个由 7 名健康志愿者组成的样本中对三种类型的外骨骼控制策略进行了基准测试:轨迹辅助(TC)、顺应性辅助(AC)和基于肌电起始的顺应性辅助(OC),该策略允许用户在步行周期中决定何时迈出一步。这项探索性研究是在 EUROBENCH 项目设施中进行的。实验程序和数据分析是按照 EUROBENCH 的协议进行的。具体来说,分析了外骨骼运动学、肌肉激活、心率和呼吸率、皮肤电导率以及用户感知的努力程度。我们的结果表明,即使使用损坏的肌电采集通道,OC 控制器也能稳健地检测到步意图。与 TC 控制器相比,AC 和 OC 控制器导致相似的运动学改变。肌肉协同作用仍然与文献中发现的协同作用相似,尽管发现了一些肌肉贡献的变化,以及协同作用的整体增加。OC 条件导致协同作用的激活持续时间平均缩短。这些差异并没有反映在行走的整体生理影响或主观感知中。我们得出结论,尽管 AC 和 OC 行走条件允许用户调节他们的行走模式,但应用这两种控制器并没有转化为行走的整体生理成本或使用体验的显著变化。尽管如此,结果表明,AC 和 OC 控制器都是很有前途的方法,可以作为步态康复工具进行探索。此外,据我们所知,INTENTION 项目是第一个对三种不同外骨骼控制器对人机-外骨骼相互作用的影响进行基准测试的研究,包括我们设计的一种新的基于肌电的控制器,该控制器以前从未在研究中测试过,这使得我们有可能对外骨骼设施和测试平台的使用提供有价值的第三方反馈,丰富了项目联盟的学徒经验,并为科学界做出贡献。

https://cdn.ncbi.nlm.nih.gov/pmc/blobs/b510/9867281/00909a5e3436/sensors-23-00791-g001.jpg

文献AI研究员

20分钟写一篇综述,助力文献阅读效率提升50倍。

立即体验

用中文搜PubMed

大模型驱动的PubMed中文搜索引擎

马上搜索

文档翻译

学术文献翻译模型,支持多种主流文档格式。

立即体验