Suppr超能文献

地域和种群属性影响了适应火灾的生态系统中佛罗里达灌丛鸦的繁殖力。

Territory and population attributes affect Florida scrub-jay fecundity in fire-adapted ecosystems.

作者信息

Breininger David R, Stolen Eric D, Carter Geoffrey M, Legare Stephanie A, Payne William V, Breininger Daniel J, Lyon James E, Schumann Chris D, Hunt Danny K

机构信息

Herndon Solutions Group, LLC, NASA Environmental and Medical Contract, NEM-022 Kennedy Space Center Florida USA.

Department of Mathematics Florida Institute of Technology Melbourne Florida USA.

出版信息

Ecol Evol. 2023 Jan 15;13(1):e9704. doi: 10.1002/ece3.9704. eCollection 2023 Jan.

Abstract

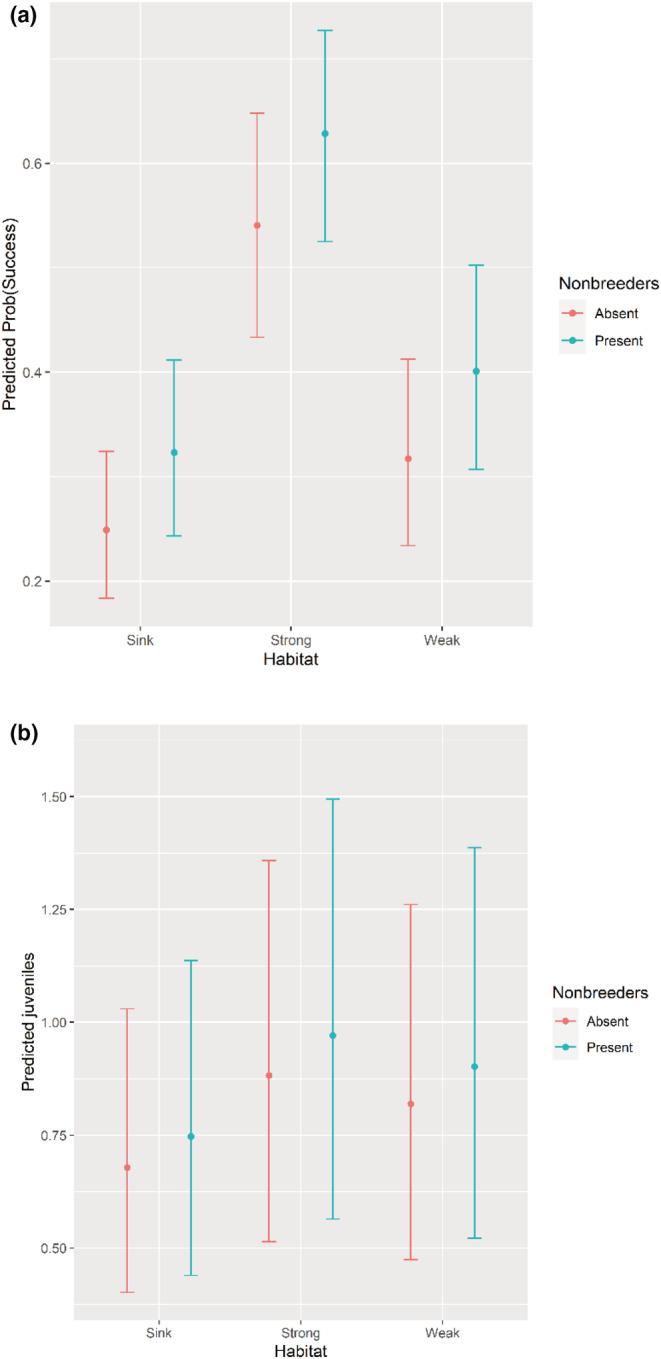
Fecundity, the number of young produced by a breeding pair during a breeding season, is a primary component in evolutionary and ecological theory and applications. Fecundity can be influenced by many environmental factors and requires long-term study due to the range of variation in ecosystem dynamics. Fecundity data often include a large proportion of zeros when many pairs fail to produce any young during a breeding season due to nest failure or when all young die independently after fledging. We conducted color banding and monthly censuses of Florida scrub-jays () across 31 years, 15 populations, and 761 territories along central Florida's Atlantic coast. We quantified how fecundity (juveniles/pair-year) was influenced by habitat quality, presence/absence of nonbreeders, population density, breeder experience, and rainfall, with a zero-inflated Bayesian hierarchical model including both a Bernoulli (e.g., brood success) and a Poisson (counts of young) submodel, and random effects for year, population, and territory. The results identified the importance of increasing "strong" quality habitat, which was a mid-successional state related to fire frequency and extent, because strong territories, and the proportion of strong territories in the overall population, influenced fecundity of breeding pairs. Populations subject to supplementary feeding also had greater fecundity. Territory size, population density, breeder experience, and rainfall surprisingly had no or small effects. Different mechanisms appeared to cause annual variation in fecundity, as estimates of random effects were not correlated between the success and count submodels. The increased fecundity for pairs with nonbreeders, compared to pairs without, identified empirical research needed to understand how the proportion of low-quality habitats influences population recovery and sustainability, because dispersal into low-quality habitats can drain nonbreeders from strong territories and decrease overall fecundity. We also describe how long-term study resulted in reversals in our understanding because of complications involving habitat quality, sociobiology, and population density.

摘要

繁殖力是指繁殖对在繁殖季节所产幼崽的数量,它是进化和生态理论及应用中的一个主要组成部分。繁殖力会受到许多环境因素的影响,由于生态系统动态变化范围较大,需要进行长期研究。当许多繁殖对在繁殖季节因巢穴失败而未能产出任何幼崽,或者所有幼崽在羽翼丰满后独立死亡时,繁殖力数据通常包含很大比例的零值。我们对佛罗里达州中部大西洋沿岸的佛罗里达灌丛鸦进行了31年、15个种群和761个领地的彩色环志和月度普查。我们使用一个零膨胀贝叶斯层次模型,该模型包括一个伯努利模型(例如育雏成功率)和一个泊松模型(幼崽数量)子模型,并对年份、种群和领地设置随机效应,来量化繁殖力(幼崽数/对·年)如何受到栖息地质量、非繁殖个体的有无、种群密度、繁殖个体经验和降雨量的影响。结果确定了增加“优质”栖息地的重要性,优质栖息地是与火灾频率和范围相关的演替中期状态,因为优质领地以及优质领地在总体种群中的比例会影响繁殖对的繁殖力。接受补充喂养的种群也具有更高的繁殖力。领地大小、种群密度、繁殖个体经验和降雨量出人意料地没有影响或影响很小。不同的机制似乎导致了繁殖力的年度变化,因为成功和计数子模型的随机效应估计不相关。与没有非繁殖个体的繁殖对相比,有非繁殖个体的繁殖对繁殖力增加,这表明需要进行实证研究来了解低质量栖息地的比例如何影响种群恢复和可持续性,因为扩散到低质量栖息地会使优质领地的非繁殖个体流失,并降低总体繁殖力。我们还描述了长期研究如何由于涉及栖息地质量、社会生物学和种群密度的复杂情况而导致我们的理解发生逆转。

https://cdn.ncbi.nlm.nih.gov/pmc/blobs/f13d/9841125/5e96c0eea790/ECE3-13-e9704-g005.jpg

文献AI研究员

20分钟写一篇综述,助力文献阅读效率提升50倍。

立即体验

用中文搜PubMed

大模型驱动的PubMed中文搜索引擎

马上搜索

文档翻译

学术文献翻译模型,支持多种主流文档格式。

立即体验