Suppr超能文献

孕前至分娩期间暴露于 PM1 和 PM2.5 后新发妊娠高血压疾病的风险:出生队列研究。

Risk of De Novo Hypertensive Disorders of Pregnancy After Exposure to PM1 and PM2.5 During the Period From Preconception to Delivery: Birth Cohort Study.

机构信息

Department of Maternal and Child Health, School of Public Health, Peking University, Beijing, China.

National Health Commission Key Laboratory of Reproductive Health, Beijing, China.

出版信息

JMIR Public Health Surveill. 2023 Jan 23;9:e41442. doi: 10.2196/41442.

Abstract

BACKGROUND

Particulate matter (PM) is detrimental to the respiratory and circulatory systems. However, no study has evaluated the lag effects of weekly exposure to fine PM during the period from preconception to delivery on the risk of hypertensive disorders of pregnancy (HDPs).

OBJECTIVE

We set out to investigate the lag effect windows of PM on the risk of HDPs on a weekly scale.

METHODS

Data from women with de novo HDPs and normotensive pregnant women who were part of the Peking University Retrospective Birth Cohort, based on the hospital information system of Tongzhou district, were obtained for this study. Meteorological data and data on exposure to fine PM were predicted by satellite remote sensing data based on maternal residential address. The de novo HDP group consisted of pregnant women who were diagnosed with gestational hypertension or preeclampsia. Fine PM was defined as PM and PM. The gestational stage of participants was from preconception (starting 12 weeks before gestation) to delivery (before the 42nd gestational week). A distributed-lag nonlinear model (DLNM) was nested in a Cox regression model to evaluate the lag effects of weekly PM exposure on de novo HDP hazard by controlling the nonlinear relationship of exposure-reaction. Stratified analyses by employment status (employed or unemployed), education level (higher or lower), and parity (primiparity or multiparity) were performed.

RESULTS

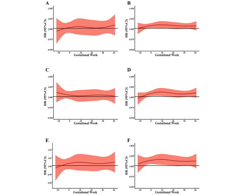
A total of 22,570 pregnant women (mean age 29.1 years) for whom data were available between 2013 and 2017 were included in this study. The prevalence of de novo HDPs was 6.7% (1520/22,570). Our findings showed that PM and PM were significantly associated with an elevated hazard of HDPs. Exposure to PM during the 5th week before gestation to the 6th gestational week increased the hazard of HDPs. A significant lag effect of PM was observed from the 1st week before gestation to the 6th gestational week. The strongest lag effects of PM and PM on de novo HDPs were observed at week 2 and week 6 (hazard ratio [HR] 1.024, 95% CI 1.007-1.042; HR 1.007, 95% CI 1.000-1.015, respectively, per 10 μg/m increase). The stratified analyses indicated that pregnant women who were employed, had low education, and were primiparous were more vulnerable to PM exposure for de novo HDPs.

CONCLUSIONS

Exposure to PM and PM was associated with the risk of de novo HDPs. There were significant lag windows between the preconception period and the first trimester. Women who were employed, had low education, and were primiparous were more vulnerable to the effects of PM exposure; more attention should be paid to these groups for early prevention of de novo HDPs.

摘要

背景

颗粒物(PM)对呼吸系统和循环系统有害。然而,尚无研究评估从受孕前到分娩期间每周暴露于细颗粒物对妊娠高血压疾病(HDPs)风险的滞后影响。

目的

我们旨在研究 PM 对每周 HDPs 风险的滞后影响窗口。

方法

本研究基于通州区医院信息系统,从新诊断出 HDP 的孕妇和正常妊娠孕妇中获取了北京大学回顾性出生队列的数据。根据母亲的居住地址,利用卫星遥感数据预测气象数据和细颗粒物暴露数据。新诊断出 HDP 组包括被诊断为妊娠期高血压或子痫前期的孕妇。细颗粒物被定义为 PM 和 PM。参与者的妊娠阶段是从受孕前(妊娠前 12 周开始)到分娩(第 42 个妊娠周之前)。通过控制暴露-反应的非线性关系,将分布式滞后非线性模型(DLNM)嵌套在 Cox 回归模型中,评估每周 PM 暴露对新诊断出 HDP 危害的滞后效应。对就业状况(就业或失业)、教育程度(高或低)和产次(初产或多产)进行分层分析。

结果

共纳入 2013 年至 2017 年期间 22570 名孕妇(平均年龄 29.1 岁)的数据。新诊断出 HDP 的患病率为 6.7%(1520/22570)。我们的研究结果表明,PM 和 PM 与 HDP 风险升高显著相关。受孕前第 5 周到受孕后第 6 周的 PM 暴露增加了 HDP 的风险。在受孕前第 1 周到受孕后第 6 周,PM 表现出显著的滞后效应。PM 和 PM 对新诊断出 HDP 的最强滞后效应出现在第 2 周和第 6 周(每增加 10μg/m,风险比[HR]为 1.024,95%CI 为 1.007-1.042;HR 为 1.007,95%CI 为 1.000-1.015)。分层分析表明,就业、教育程度低和初产妇的孕妇更容易受到 PM 暴露的影响,从而导致新诊断出 HDP。

结论

PM 和 PM 的暴露与新诊断出 HDP 的风险相关。从受孕前到孕早期存在明显的滞后窗口。就业、教育程度低和初产妇的孕妇更容易受到 PM 暴露的影响,对这些人群应更加关注,以便及早预防新诊断出 HDP。

https://cdn.ncbi.nlm.nih.gov/pmc/blobs/1ebb/9903185/154fc06f7667/publichealth_v9i1e41442_fig1.jpg

文献AI研究员

20分钟写一篇综述,助力文献阅读效率提升50倍。

立即体验

用中文搜PubMed

大模型驱动的PubMed中文搜索引擎

马上搜索

文档翻译

学术文献翻译模型,支持多种主流文档格式。

立即体验