Suppr超能文献

血清类胡萝卜素与高血压成年人全因和心血管死亡率风险的关联。

Associations of Serum Carotenoids With Risk of All-Cause and Cardiovascular Mortality in Hypertensive Adults.

机构信息

Department of Cardiology The First Affiliated Hospital of Nanjing Medical University, Jiangsu Province Hospital Nanjing China.

Department of Cardiology The Affiliated Suzhou Hospital of Nanjing Medical University, Suzhou Municipal Hospital, Gusu School Suzhou China.

出版信息

J Am Heart Assoc. 2023 Feb 21;12(4):e027568. doi: 10.1161/JAHA.122.027568. Epub 2023 Feb 8.

Abstract

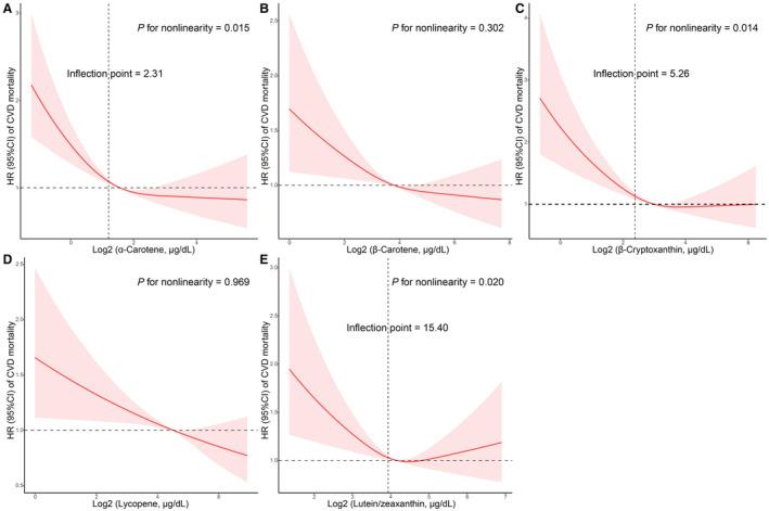
Background Systemic oxidative stress is involved in the development of hypertension, whereas carotenoids are a group of natural antioxidants. Our study aims to evaluate the relationships between the serum concentrations of major carotenoids and mortality in hypertensive adults. Methods and Results Data on 5 serum carotenoids from the National Health and Nutrition Examination Survey (NHANES) III and NHANES 2001-2006 were included. Outcome measures (all-cause and cardiovascular mortality) were identified from the National Death Index through December 31, 2019. Multiple Cox proportional hazards regression and restricted cubic spline analyses were performed to determine the association between carotenoid levels and outcomes. A total of 8390 hypertensive adults were included in the analysis. At a median follow-up duration of 16.6 years, all-cause and cardiovascular mortality occurred in 4005 (47.74%) and 1205 (14.36%) participants, respectively. Compared with the lowest quartiles, the highest quartiles of 5 major serum carotenoids were associated with lower risk of all-cause mortality, with multivariable-adjusted hazard ratios (HRs) of 0.63 (95% CI, 0.56-0.71) for α-carotene, 0.70 (95% CI, 0.61-0.80); for β-carotene, 0.67 (95% CI, 0.58-0.76); for β-cryptoxanthin, 0.74 (95% CI, 0.64-0.86) for lycopene; and 0.72 (95% CI, 0.63-0.83) for lutein/zeaxanthin. For cause-specific mortality, this association with the fourth quartile of serum carotenoids was evident for a reduced rate of cardiovascular mortality, with a 32% reduction for α-carotene (HR, 0.68 [95% CI, 0.55-0.86]), a 29% reduction for β-cryptoxanthin (HR, 0.71 [95% CI, 0.56-0.89]), and a 26% reduction for lycopene (HR, 0.74 [95% CI, 0.59-0.94]), but not for β-carotene and lutein/zeaxanthin. In addition, we found that serum α-carotene, β-carotene, β-cryptoxanthin, and lutein/zeaxanthin levels were nonlinearly related to all-cause mortality with inflection points of 2.43, 8.49, 5.12, and 14.17 μg/dL, respectively. Serum α-carotene, β-cryptoxanthin, and lutein/zeaxanthin concentrations showed nonlinear associations with cardiovascular mortality with inflection points of 2.31, 5.26, and 15.40 μg/dL, respectively. Conclusions Findings suggest that higher serum carotenoid concentrations were associated with lower risks of all-cause and cardiovascular mortality in hypertensive adults.

摘要

背景

全身性氧化应激与高血压的发生发展有关,而类胡萝卜素是一组天然抗氧化剂。我们的研究旨在评估高血压患者血清中主要类胡萝卜素浓度与死亡率之间的关系。

方法和结果

本研究纳入了来自国家健康和营养检查调查(NHANES)III 期和 2001-2006 年 NHANES 的 5 种血清类胡萝卜素的数据。通过国家死亡指数确定结局(全因和心血管死亡率),截至 2019 年 12 月 31 日。采用多 Cox 比例风险回归和限制性立方样条分析来确定类胡萝卜素水平与结局之间的关系。共纳入了 8390 名高血压患者。中位随访时间为 16.6 年,共有 4005 名(47.74%)和 1205 名(14.36%)参与者发生全因和心血管死亡率。与最低四分位数相比,5 种主要血清类胡萝卜素的最高四分位数与全因死亡率风险降低相关,多变量调整后的危险比(HR)分别为 0.63(95%CI,0.56-0.71)的α-胡萝卜素、0.70(95%CI,0.61-0.80)的β-胡萝卜素、0.67(95%CI,0.58-0.76)的β-隐黄质、0.74(95%CI,0.64-0.86)的番茄红素和 0.72(95%CI,0.63-0.83)的叶黄素/玉米黄质。对于特定原因的死亡率,与血清类胡萝卜素第四四分位数的这种关联在心血管死亡率的降低率方面是明显的,α-胡萝卜素降低 32%(HR,0.68 [95%CI,0.55-0.86]),β-隐黄质降低 29%(HR,0.71 [95%CI,0.56-0.89]),番茄红素降低 26%(HR,0.74 [95%CI,0.59-0.94]),而β-胡萝卜素和叶黄素/玉米黄质没有降低。此外,我们发现血清α-胡萝卜素、β-胡萝卜素、β-隐黄质和叶黄素/玉米黄质水平与全因死亡率呈非线性相关,拐点分别为 2.43、8.49、5.12 和 14.17μg/dL。血清α-胡萝卜素、β-隐黄质和叶黄素/玉米黄质浓度与心血管死亡率呈非线性关联,拐点分别为 2.31、5.26 和 15.40μg/dL。

结论

研究结果表明,高血压患者血清类胡萝卜素浓度较高与全因和心血管死亡率降低风险相关。

https://cdn.ncbi.nlm.nih.gov/pmc/blobs/6314/10111495/7692efb3e733/JAH3-12-e027568-g002.jpg

文献AI研究员

20分钟写一篇综述,助力文献阅读效率提升50倍。

立即体验

用中文搜PubMed

大模型驱动的PubMed中文搜索引擎

马上搜索

文档翻译

学术文献翻译模型,支持多种主流文档格式。

立即体验