Suppr超能文献

系统免疫炎症指数与脉搏波速度、血浆致动脉粥样硬化指数、甘油三酯-血糖指数及心血管疾病的相关性:一项大型横断面研究。

Association of Systemic Immune Inflammation Index with Estimated Pulse Wave Velocity, Atherogenic Index of Plasma, Triglyceride-Glucose Index, and Cardiovascular Disease: A Large Cross-Sectional Study.

机构信息

Department of Cardiology, Zhongda Hospital, School of Medicine, Southeast University, 87 Dingjiaqiao, Nanjing, Jiangsu 210009, China.

Department of Cardiology, The Affiliated Hospital of Xuzhou Medical University, Xuzhou, Jiangsu 221000, China.

出版信息

Mediators Inflamm. 2023 Feb 15;2023:1966680. doi: 10.1155/2023/1966680. eCollection 2023.

Abstract

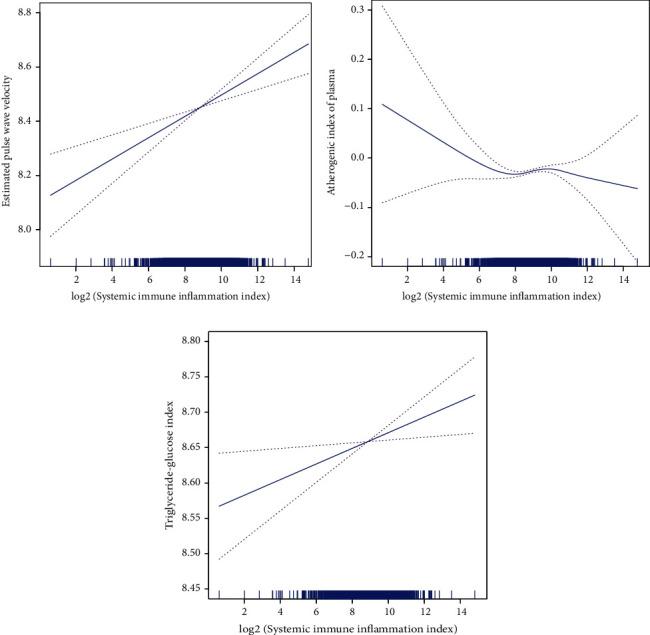
In the U.S. general population, there is a lack of understanding regarding the association between the systemic immune inflammation (SII) index and estimated pulse wave velocity (ePWV), atherogenic index of plasma (AIP), and triglyceride-glucose (TyG) index and cardiovascular disease (CVD). As a result, the objective of our research was to investigate the association between the SII index and ePWV, AIP, and TyG index and incident CVD. We used the National Health and Nutrition Examination Survey (NHANES) data from 1999 to 2018 to conduct this study. The correlation between the SII index and ePWV, AIP, and TyG index was examined using generalized additive models with smooth functions. In addition, the association between SII index and triglyceride (TC), high-density lipoprotein cholesterol (HDL-C), and fast glucose (FBG) also were explored. Finally, we further performed multivariable logistic regression analysis, restricted cubic spline (RCS) plots, and subgroup analysis to study the connection between the SII index and CVD. Our analysis included 17389 subjects from the NHANES database. A substantial positive association existed between SII, WV, and the TyG index. In addition, with the increase of the SII index, AIP showed a trend of decreasing first, then rising, and then decreasing. The SII index was inversely and linearly associated with triglyceride (TG), while positively and linearly associated with fast glucose (FBG). However, high-density lipoprotein cholesterol (HDL-C) had a tendency of first declining, then climbing, and finally falling with the rise in the SII index. After adjusting for potential confounders, compared with the lowest quartiles, the odds ratios with 95% confidence intervals for CVD across the quartiles were 0.914 (0.777, 1.074), 0.935 (0.779, 1.096), and 1.112 (0.956, 1.293) for SII index. The RCS plot showed an inverse U-shaped curve relationship between the SII index and CVD. Overall, this study found a strong correlation between a higher SII index and ePWV and the TyG index. Additionally, these cross-sectional data also revealed a U-shaped connection between the SII index and CVD.

摘要

在美国一般人群中,人们对系统性免疫炎症(SII)指数与估计脉搏波速度(ePWV)、血浆致动脉粥样硬化指数(AIP)和甘油三酯-葡萄糖(TyG)指数与心血管疾病(CVD)之间的关联缺乏了解。因此,我们的研究目的是探讨 SII 指数与 ePWV、AIP 和 TyG 指数与 CVD 事件之间的关系。我们使用了 1999 年至 2018 年的国家健康和营养检查调查(NHANES)数据进行了这项研究。使用广义加性模型和光滑函数来检验 SII 指数与 ePWV、AIP 和 TyG 指数之间的相关性。此外,还探讨了 SII 指数与甘油三酯(TC)、高密度脂蛋白胆固醇(HDL-C)和快速血糖(FBG)之间的关系。最后,我们进一步进行了多变量逻辑回归分析、限制立方样条(RCS)图和亚组分析,以研究 SII 指数与 CVD 之间的关系。我们的分析包括 NHANES 数据库中的 17389 名受试者。SII、WV 和 TyG 指数之间存在显著的正相关关系。此外,随着 SII 指数的增加,AIP 首先呈现出下降趋势,然后上升,然后再次下降的趋势。SII 指数与甘油三酯(TG)呈负相关,与快速血糖(FBG)呈正相关。然而,高密度脂蛋白胆固醇(HDL-C)随着 SII 指数的升高呈现先下降、再上升、最后下降的趋势。在调整了潜在的混杂因素后,与最低四分位数相比,SII 指数四分位数的 CVD 比值比(95%置信区间)分别为 0.914(0.777,1.074)、0.935(0.779,1.096)和 1.112(0.956,1.293)。RCS 图显示了 SII 指数与 CVD 之间的反向 U 形曲线关系。总的来说,这项研究发现,较高的 SII 指数与 ePWV 和 TyG 指数之间存在很强的相关性。此外,这些横断面数据还揭示了 SII 指数与 CVD 之间的 U 形关系。

https://cdn.ncbi.nlm.nih.gov/pmc/blobs/5fb5/9946741/2fbef01e6f70/MI2023-1966680.001.jpg

文献AI研究员

20分钟写一篇综述,助力文献阅读效率提升50倍。

立即体验

用中文搜PubMed

大模型驱动的PubMed中文搜索引擎

马上搜索

文档翻译

学术文献翻译模型,支持多种主流文档格式。

立即体验