Suppr超能文献

巨细胞病毒血清阳性老年人中干扰素-λ-3多态性对COVID-19抗体反应的评估。

Assessment of the Interferon-Lambda-3 Polymorphism in the Antibody Response to COVID-19 in Older Adults Seropositive for CMV.

作者信息

Nardy Ariane, Camargo Camila Tussato Soares, Oliveira Yasmim Faustina Castro de, Silva Fernanda Cristina da, Almeida Millena Soares de, Monteiro Fernanda Rodrigues, Silva Brenda Rodrigues, Amaral Jônatas Bussador do, Oliveira Danielle Bruna Leal, Durigon Edison Luiz, Scagion Guilherme Pereira, Chalup Vanessa Nascimento, Candido Érika Donizetti, Aguiar Andressa Simões, Novo Neil Ferreira, Shio Marina Tiemi, França Carolina Nunes, Nali Luiz Henrique da Silva, Bachi André Luis Lacerda

机构信息

Faculty of Pharmacy, Campus, Santo Amaro University, São Paulo 04829-300, Brazil.

Post-Graduation Program in Health Sciences, Santo Amaro University (UNISA), São Paulo 04829-300, Brazil.

出版信息

Vaccines (Basel). 2023 Feb 18;11(2):480. doi: 10.3390/vaccines11020480.

Abstract

BACKGROUND

Here, we investigated the impact of IFN-lambda-3 polymorphism on specific IgG responses for COVID-19 in older adults seropositive for CMV.

METHODS

Blood samples of 25 older adults of both sexes were obtained at three different times: during a micro-outbreak (MO) of SARS-CoV-2 in 2020; eight months after (CURE); and 30 days after the administration of the second dose of ChadOx-1 vaccine (VAC). The specific IgG for both SARS-CoV-2 and CMV antigens, neutralizing antibodies against SARS-CoV-2, and also the polymorphism profile for IFN-lambda-3 (rs12979860 C > T) were assessed.

RESULTS

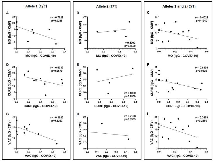
Higher levels of specific IgG for SARS-CoV-2 antigens were found in the MO and VAC than in the CURE time-point. Volunteers with specific neutralizing antibodies against SARS-CoV-2 showed better specific IgG responses for SARS-CoV-2 and lower specific IgG levels for CMV than volunteers without specific neutralizing antibodies. Significant negative correlations between the specific IgG levels for SARS-CoV-2 and CMV were found at the MO time-point, as well as in the group of individuals homozygous for allele 1 (C/C) in the MO time-point and heterozygotes (C/T) in the CURE time-point.

CONCLUSION

Our results suggested that both CMV seropositivity and the homozygosis for allele 1 (C/C) in IFN-lambda-3 gene can negatively impact the antibody response to COVID-19 infection and vaccination in older adults.

摘要

背景

在此,我们研究了IFN-λ-3基因多态性对巨细胞病毒血清阳性的老年人针对新冠病毒的特异性IgG反应的影响。

方法

采集了25名不同性别的老年人在三个不同时间点的血样:2020年新冠病毒微爆发(MO)期间;八个月后(CURE);以及接种第二剂ChadOx-1疫苗(VAC)后30天。评估了针对新冠病毒和巨细胞病毒抗原的特异性IgG、针对新冠病毒的中和抗体以及IFN-λ-3(rs12979860 C>T)的多态性谱。

结果

在MO和VAC阶段检测到的针对新冠病毒抗原的特异性IgG水平高于CURE时间点。具有针对新冠病毒特异性中和抗体的志愿者对新冠病毒表现出更好的特异性IgG反应,且对巨细胞病毒的特异性IgG水平低于没有特异性中和抗体的志愿者。在MO时间点以及MO时间点等位基因1纯合子(C/C)个体组和CURE时间点杂合子(C/T)个体组中,发现针对新冠病毒和巨细胞病毒的特异性IgG水平之间存在显著负相关。

结论

我们的结果表明,巨细胞病毒血清阳性以及IFN-λ-3基因中1等位基因(C/C)纯合状态均可对老年人针对新冠病毒感染和疫苗接种的抗体反应产生负面影响。

https://cdn.ncbi.nlm.nih.gov/pmc/blobs/0433/9963200/244b361b333e/vaccines-11-00480-g001.jpg

文献AI研究员

20分钟写一篇综述,助力文献阅读效率提升50倍。

立即体验

用中文搜PubMed

大模型驱动的PubMed中文搜索引擎

马上搜索

文档翻译

学术文献翻译模型,支持多种主流文档格式。

立即体验