Suppr超能文献

氧疗与囊性纤维化自然疾病进展的关联:欧洲囊性纤维化协会患者登记处的多状态模型

Association of Oxygen Therapy with the Natural Disease Progression of Cystic Fibrosis: A Multi-State Model of the European Cystic Fibrosis Society Patient Registry.

作者信息

Gambazza Simone, Orenti Annalisa, Pizzamiglio Giovanna, Zolin Anna, Colombo Carla, Laquintana Dario, Ambrogi Federico

机构信息

Healthcare Professions Department, Fondazione IRCCS Ca' Granda Ospedale Maggiore Policlinico, Milan, Italy.

Department of Clinical Sciences and Community Health, Laboratory of Medical Statistics, Biometry and Epidemiology "G. A. Maccacaro", Università degli Studi di Milano, Milan, Italy.

出版信息

Ther Clin Risk Manag. 2023 Mar 13;19:255-267. doi: 10.2147/TCRM.S391476. eCollection 2023.

Abstract

BACKGROUND

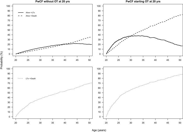
Association between dependence on oxygen therapy (OT) and natural disease progression in people with cystic fibrosis (pwCF) has not been estimated yet. The aim of this study is to understand the prognosis for pwCF on OT, evaluating how the transition probabilities from being alive without lung transplantation (LTx) to LTx and to death, and from being alive after LTx to death change in pwCF with and without OT.

METHODS

We used 2008-2017 data from the 35-country European CF Society Patient Registry. A multi-state model was fitted to assess the effects of individual risk factors on transition probabilities.

RESULTS

We considered 48,343 pwCF aged from 6 to 50 years. OT (HR 5.78, 95% CI: 5.32-6.29) and abnormal FEV (HR 6.41, 95% CI: 5.28-7.79) were strongly associated with the probability of having LTx; chronic infection with complex (HR 3.19, 95% CI: 2.78-3.67), abnormal FEV (HR 5.00, 95% CI: 4.11-6.08) and the need for OT (HR 4.32, 95% CI: 3.93-4.76) showed the greatest association with the probability of dying without LTx. Once pwCF received LTx, OT (HR 1.75, 95% CI: 1.41-2.16) and abnormal FEV (HR 1.63, 95% CI: 1.18-2.25) were the main factors associated with the probability of dying. An association of gross national income with the probability of receiving LTx and with the probability of dying without LTx was also found.

CONCLUSION

Oxygen therapy is associated with poor survival in pwCF with and without LTx; harmonization of CF care throughout European countries and minimization of the onset of pulmonary gas exchange abnormalities using all available means remains of paramount importance.

摘要

背景

囊性纤维化患者(pwCF)对氧疗(OT)的依赖与自然疾病进展之间的关联尚未得到评估。本研究的目的是了解pwCF接受氧疗后的预后情况,评估在有或无氧疗的pwCF中,从无肺移植(LTx)存活到接受肺移植以及死亡的转移概率,以及肺移植后存活到死亡的转移概率是如何变化的。

方法

我们使用了来自35个国家的欧洲囊性纤维化协会患者登记处2008 - 2017年的数据。采用多状态模型来评估个体风险因素对转移概率的影响。

结果

我们纳入了48343名年龄在6至50岁之间的pwCF。氧疗(风险比[HR] 5.78,95%置信区间[CI]:5.32 - 6.29)和异常第一秒用力呼气容积(FEV)(HR 6.41,95% CI:5.28 - 7.79)与接受肺移植的概率密切相关;复杂慢性感染(HR 3.19,95% CI:2.78 - 3.67)、异常FEV(HR 5.00,95% CI:4.11 - 6.08)以及对氧疗的需求(HR 4.32,95% CI:3.93 - 4.76)与无肺移植死亡的概率关联最为显著。一旦pwCF接受了肺移植,氧疗(HR 1.75,95% CI:1.41 - 2.16)和异常FEV(HR 1.63,95% CI:1.18 - 2.25)是与死亡概率相关的主要因素。还发现国民总收入与接受肺移植的概率以及无肺移植死亡的概率之间存在关联。

结论

无论是否进行肺移植,氧疗都与pwCF的不良生存相关;在欧洲各国实现囊性纤维化护理的协调一致,并利用所有可用手段将肺气体交换异常的发生降至最低仍然至关重要。

https://cdn.ncbi.nlm.nih.gov/pmc/blobs/176e/10022450/68b26c23332a/TCRM-19-255-g0001.jpg

文献AI研究员

20分钟写一篇综述,助力文献阅读效率提升50倍。

立即体验

用中文搜PubMed

大模型驱动的PubMed中文搜索引擎

马上搜索

文档翻译

学术文献翻译模型,支持多种主流文档格式。

立即体验