Suppr超能文献

尼马曲韦联合治疗与新冠病毒感染后综合征风险的关联。

Association of Treatment With Nirmatrelvir and the Risk of Post-COVID-19 Condition.

机构信息

Clinical Epidemiology Center, Research and Development Service, VA St Louis Health Care System, St Louis, Missouri.

Veterans Research and Education Foundation of St Louis, St Louis, Missouri.

出版信息

JAMA Intern Med. 2023 Jun 1;183(6):554-564. doi: 10.1001/jamainternmed.2023.0743.

Abstract

IMPORTANCE

Post-COVID-19 condition (PCC), also known as long COVID, affects many individuals. Prevention of PCC is an urgent public health priority.

OBJECTIVE

To examine whether treatment with nirmatrelvir in the acute phase of COVID-19 is associated with reduced risk of PCC.

DESIGN, SETTING, AND PARTICIPANTS: This cohort study used the health care databases of the US Department of Veterans Affairs (VA) to identify patients who had a SARS-CoV-2 positive test result between January 3, 2022, and December 31, 2022, who were not hospitalized on the day of the positive test result, who had at least 1 risk factor for progression to severe COVID-19 illness, and who had survived the first 30 days after SARS-CoV-2 diagnosis. Those who were treated with oral nirmatrelvir within 5 days after the positive test (n = 35 717) and those who received no COVID-19 antiviral or antibody treatment during the acute phase of SARS-CoV-2 infection (control group, n = 246 076) were identified.

EXPOSURES

Treatment with nirmatrelvir or receipt of no COVID-19 antiviral or antibody treatment based on prescription records.

MAIN OUTCOMES AND MEASURES

Inverse probability weighted survival models were used to estimate the association of nirmatrelvir (vs control) with post-acute death, post-acute hospitalization, and a prespecified panel of 13 post-acute COVID-19 sequelae (components of PCC) and reported in relative scale as relative risk (RR) or hazard ratio (HR) and in absolute scale as absolute risk reduction in percentage at 180 days (ARR).

RESULTS

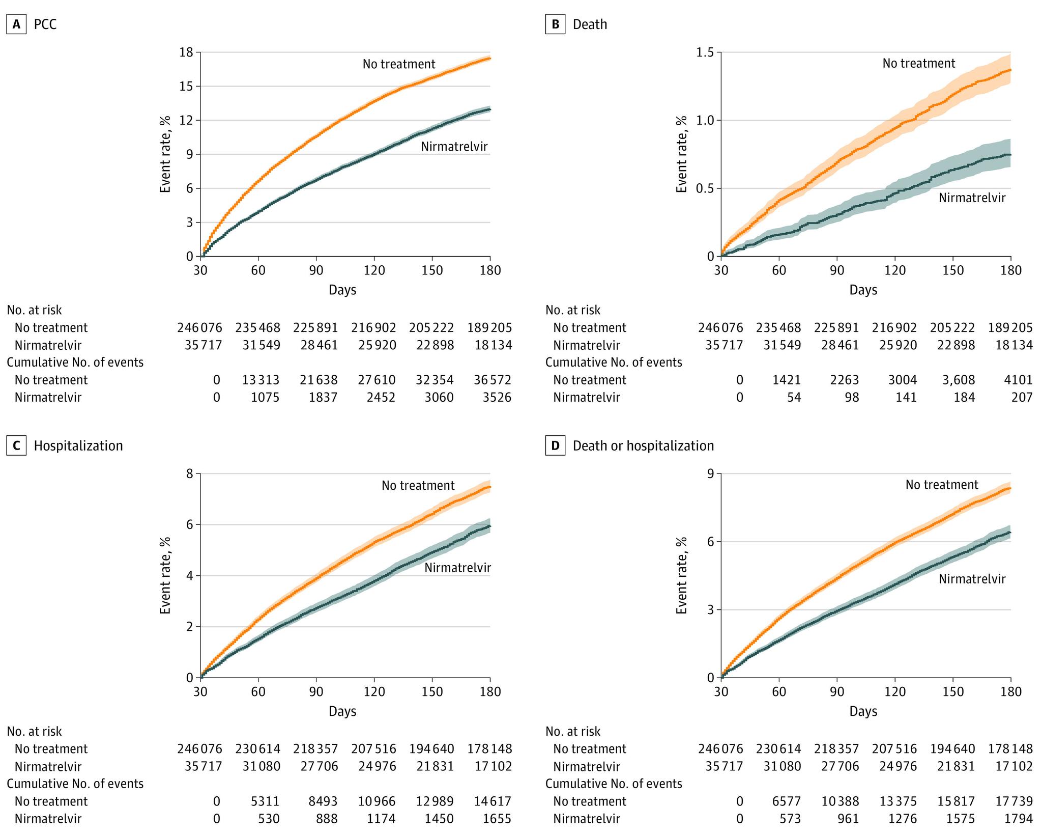
A total of 281 793 patients (mean [SD] age, 61.99 [14.96]; 242 383 [86.01%] male) who had a positive SARS-CoV-2 test result and had at least 1 risk factor for progression to severe COVID-19 illness were studied. Among them, 246 076 received no COVID-19 antiviral or antibody treatment during the acute phase of SARS-CoV-2 infection, and 35 717 received oral nirmatrelvir within 5 days after the positive SARS-CoV-2 test result. Compared with the control group, nirmatrelvir was associated with reduced risk of PCC (RR, 0.74; 95% CI, 0.72-0.77; ARR, 4.51%; 95% CI, 4.01-4.99), including reduced risk of 10 of 13 post-acute sequelae (components of PCC) in the cardiovascular system (dysrhythmia and ischemic heart disease), coagulation and hematologic disorders (pulmonary embolism and deep vein thrombosis), fatigue and malaise, acute kidney disease, muscle pain, neurologic system (neurocognitive impairment and dysautonomia), and shortness of breath. Nirmatrelvir was also associated with reduced risk of post-acute death (HR, 0.53; 95% CI, 0.46-0.61); ARR, 0.65%; 95% CI, 0.54-0.77), and post-acute hospitalization (HR, 0.76; 95% CI, 0.73-0.80; ARR, 1.72%; 95% CI, 1.42-2.01). Nirmatrelvir was associated with reduced risk of PCC in people who were unvaccinated, vaccinated, and boosted, and in people with primary SARS-CoV-2 infection and reinfection.

CONCLUSIONS AND RELEVANCE

This cohort study found that in people with SARS-CoV-2 infection who had at least 1 risk factor for progression to severe disease, treatment with nirmatrelvir within 5 days of a positive SARS-CoV-2 test result was associated with reduced risk of PCC across the risk spectrum in this cohort and regardless of vaccination status and history of prior infection; the totality of findings suggests that treatment with nirmatrelvir during the acute phase of COVID-19 may reduce the risk of post-acute adverse health outcomes.

摘要

重要性

新冠病毒感染后疾病(Post-COVID-19 condition,简称 PCC,也称为长新冠)影响许多人。预防 PCC 是一项紧迫的公共卫生重点。

目的

研究在新冠病毒感染的急性期使用奈玛特韦治疗是否与降低 PCC 风险相关。

设计、地点和参与者:这项队列研究使用美国退伍军人事务部(VA)的医疗保健数据库,确定了 2022 年 1 月 3 日至 12 月 31 日期间 SARS-CoV-2 检测呈阳性的患者,他们在阳性检测日当天未住院,至少有 1 种进展为严重 COVID-19 疾病的风险因素,并且在 SARS-CoV-2 诊断后第 30 天存活。将在阳性检测后 5 天内接受奈玛特韦口服治疗(n=35717)的患者和在 SARS-CoV-2 感染急性期未接受任何 COVID-19 抗病毒或抗体治疗的患者(对照组,n=246076)确定为研究对象。

暴露情况

根据处方记录,使用奈玛特韦治疗或不使用 COVID-19 抗病毒或抗体治疗。

主要结局和措施

使用逆概率加权生存模型估计奈玛特韦(与对照组相比)与急性后死亡、急性后住院以及预先指定的 13 个急性后 COVID-19 后遗症(PCC 的组成部分)之间的关联,并以相对风险(RR)或危险比(HR)和 180 天内的绝对风险降低百分比(ARR)表示。

结果

共研究了 281793 名 SARS-CoV-2 检测呈阳性且至少有 1 种进展为严重 COVID-19 疾病风险因素的患者(平均[标准差]年龄,61.99[14.96]岁;242383[86.01%]为男性)。其中,246076 名患者在 SARS-CoV-2 感染的急性期未接受任何 COVID-19 抗病毒或抗体治疗,35717 名患者在 SARS-CoV-2 阳性检测后 5 天内接受了奈玛特韦口服治疗。与对照组相比,奈玛特韦治疗与 PCC 风险降低相关(RR,0.74;95%CI,0.72-0.77;ARR,4.51%;95%CI,4.01-4.99),包括心血管系统(心律失常和缺血性心脏病)、凝血和血液疾病(肺栓塞和深静脉血栓形成)、疲劳和不适、急性肾损伤、肌肉疼痛、神经系统(认知障碍和自主神经功能障碍)和呼吸急促等 13 种急性后后遗症(PCC 的组成部分)中的 10 种风险降低。奈玛特韦还与急性后死亡风险降低相关(HR,0.53;95%CI,0.46-0.61);ARR,0.65%;95%CI,0.54-0.77)和急性后住院风险降低相关(HR,0.76;95%CI,0.73-0.80;ARR,1.72%;95%CI,1.42-2.01)。奈玛特韦在未接种疫苗、接种疫苗和加强疫苗、原发性 SARS-CoV-2 感染和再感染的人群中均与 PCC 风险降低相关。

结论和相关性

这项队列研究发现,在 SARS-CoV-2 感染且至少有 1 种进展为严重疾病风险因素的患者中,在 SARS-CoV-2 阳性检测后 5 天内使用奈玛特韦治疗与该队列中整个风险谱内的 PCC 风险降低相关,无论接种疫苗状态和既往感染史如何;综合研究结果表明,在 COVID-19 的急性期使用奈玛特韦治疗可能降低急性后不良健康结局的风险。

https://cdn.ncbi.nlm.nih.gov/pmc/blobs/1f6e/10037200/503782e7cc74/jamainternmed-e230743-g001.jpg

文献AI研究员

20分钟写一篇综述,助力文献阅读效率提升50倍。

立即体验

用中文搜PubMed

大模型驱动的PubMed中文搜索引擎

马上搜索

文档翻译

学术文献翻译模型,支持多种主流文档格式。

立即体验