Suppr超能文献

强制换羽对鸡下丘脑和卵巢DNA甲基化组的影响

Chicken Hypothalamic and Ovarian DNA Methylome Alteration in Response to Forced Molting.

作者信息

Zhang Tongyu, Li Chengfeng, Deng Jianwen, Jia Yaxiong, Qu Lujiang, Ning Zhonghua

机构信息

Department of Animal Genetics and Breeding, College of Animal Science and Technology, China Agricultural University, Beijing 100193, China.

Hubei Shendan Healthy Food Co., Ltd., Xiaogan 432600, China.

出版信息

Animals (Basel). 2023 Mar 10;13(6):1012. doi: 10.3390/ani13061012.

Abstract

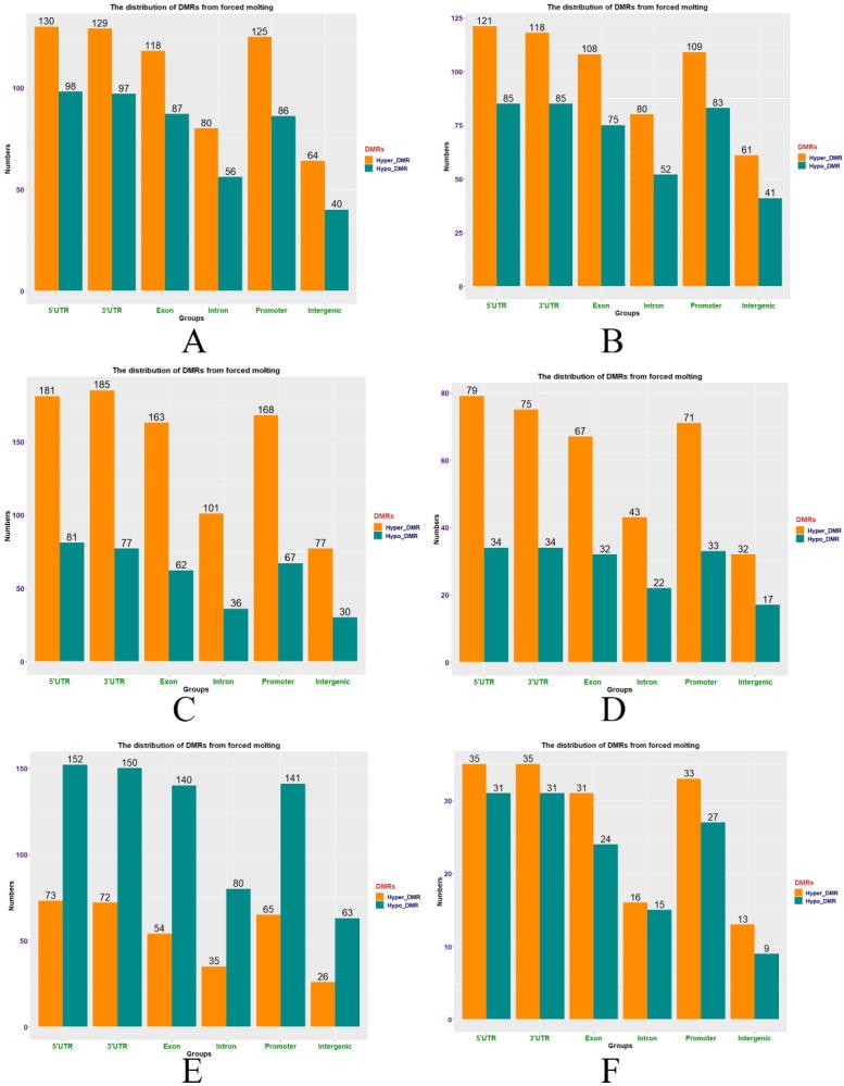
Epigenetic modifications play an important role in regulating animal adaptation to external stress. To explore how DNA methylation regulates the expression levels of related genes during forced molting (FM) of laying hens, the hypothalamus and ovary tissues were analyzed at five periods using Whole-Genome Bisulfite Sequencing. The results show that methylation levels fluctuated differently in the exon, intron, 5'UTR, 3'UTR, promoter, and intergenic regions of the genome during FM. In addition, 16 differentially methylated genes (DMGs) regulating cell aging, immunity, and development were identified in the two reversible processes of starvation and redevelopment during FM. Comparing DMGs with differentially expressed genes (DEGs) obtained in the same periods, five hypermethylated DMGs (DSTYK, NKTR, SMOC1, SCAMP3, and ATOH8) that inhibited the expression of DEGs were found. Therefore, DMGs epigenetically modify the DEGs during the FM process of chickens, leading to the rapid closure and restart of their reproductive function and a re-increase in the egg-laying rate. Therefore, this study further confirmed that epigenetic modifications could regulate gene expression during FM and provides theoretical support for the subsequent optimization of FM technology.

摘要

表观遗传修饰在调节动物对外界应激的适应中发挥着重要作用。为了探究DNA甲基化如何在蛋鸡强制换羽(FM)过程中调节相关基因的表达水平,利用全基因组亚硫酸氢盐测序在五个时期对下丘脑和卵巢组织进行了分析。结果表明,在FM过程中,基因组的外显子、内含子、5'UTR、3'UTR、启动子和基因间区域的甲基化水平波动情况不同。此外,在FM过程中饥饿和再发育的两个可逆过程中,鉴定出16个调节细胞衰老、免疫和发育的差异甲基化基因(DMG)。将DMG与同一时期获得的差异表达基因(DEG)进行比较,发现5个抑制DEG表达的高甲基化DMG(DSTYK、NKTR、SMOC1、SCAMP3和ATOH8)。因此,DMG在鸡的FM过程中对DEG进行表观遗传修饰,导致其生殖功能迅速关闭和重启,产蛋率再次提高。因此,本研究进一步证实了表观遗传修饰可以在FM过程中调节基因表达,并为后续FM技术的优化提供了理论支持。

https://cdn.ncbi.nlm.nih.gov/pmc/blobs/da1d/10044502/78f7575c9b01/animals-13-01012-g001.jpg

文献AI研究员

20分钟写一篇综述,助力文献阅读效率提升50倍。

立即体验

用中文搜PubMed

大模型驱动的PubMed中文搜索引擎

马上搜索

文档翻译

学术文献翻译模型,支持多种主流文档格式。

立即体验