Suppr超能文献

塑料相关化合物对体外 P-糖蛋白和乳腺癌耐药蛋白的影响。

Impact of Plastic-Related Compounds on P-Glycoprotein and Breast Cancer Resistance Protein In Vitro.

机构信息

Department of Pharmaceutical Biology, Institute of Pharmaceutical and Biomedical Sciences, Johannes Gutenberg University, Staudinger Weg 5, 55128 Mainz, Germany.

Microscopy Core Facility, Institute of Molecular Biology (IMB), Ackermannweg 4, 55128 Mainz, Germany.

出版信息

Molecules. 2023 Mar 17;28(6):2710. doi: 10.3390/molecules28062710.

Abstract

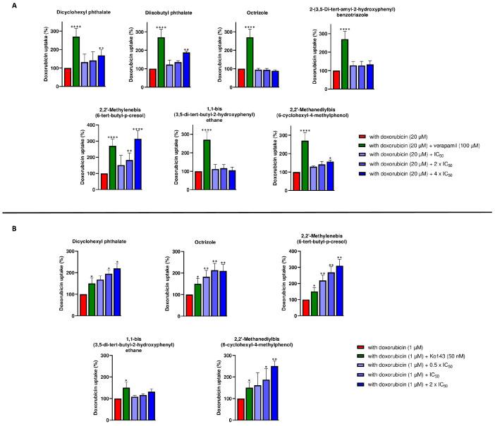
Plastic in oceans degrades to microplastics and nanoplastics, causing various problems for marine fauna and flora. Recently, microplastic has been detected in blood, breast milk and placenta, underlining their ability to enter the human body with still unknown effects. In addition, plastic contains other compounds such as plasticizers, antioxidants or lubricants, whose impact on human health is also elusive. On the cellular level, two transporters involved in cell protection and detoxification of xenobiotic compounds are the ABC-transporters P-glycoprotein (P-gp, MDR1, ABCB1) and breast cancer resistance protein (BCRP, ABCG2). Despite the great importance of these proteins to maintain the correct cellular balance, their interaction with plastic and related products is evasive. In this study, the possible interaction between different plastic-related compounds and these two transporters was investigated. Applying virtual compound screening and molecular docking of more than 1000 commercially available plastic compounds, we identified candidates most probably interacting with these two transporters. Cytotoxicity and uptake assays confirmed their toxic interaction on P-glycoprotein-overexpressing CEM/ADR5000 and BCRP-overexpressing MDA-MD-231-BCRP cell lines. To specifically visualize the results obtained on the P-glycoprotein inhibitor 2,2'-methylenebis(6-tert-butyl-4-methylphenol), we performed live cell time-lapse microscopy. Confocal fluorescence microscopy was used to understand the behavior of the molecule and the consequences that it has on the uptake of the well-known substrate doxorubicin and, in comparison, with the known inhibitor verapamil. Based on the results, we provide evidence that the compound in question is an inhibitor of the P-glycoprotein. Moreover, it is also possible that 2,2'-methylenebis(6-tert-butyl-4-methylphenol), together with three other compounds, may also inhibit the breast cancer resistance protein. This discovery implies that plastic-related compounds can not only harm the human body but can also inhibit detoxifying efflux pumps, which increases their toxic potential as these transporters lose their physiological functions.

摘要

海洋中的塑料会降解为微塑料和纳米塑料,对海洋动植物造成各种问题。最近,已经在血液、母乳和胎盘检测到微塑料,这表明它们能够进入人体,其影响仍未知。此外,塑料还含有其他化合物,如增塑剂、抗氧化剂或润滑剂,其对人类健康的影响也难以捉摸。在细胞水平上,两种参与细胞保护和外来化合物解毒的转运蛋白是 ABC 转运蛋白 P-糖蛋白(P-gp,MDR1,ABCB1)和乳腺癌耐药蛋白(BCRP,ABCG2)。尽管这些蛋白质对于维持细胞平衡非常重要,但它们与塑料及相关产品的相互作用仍不清楚。在这项研究中,研究了不同与塑料相关的化合物与这两种转运蛋白的可能相互作用。通过对 1000 多种市售塑料化合物进行虚拟化合物筛选和分子对接,我们确定了与这两种转运蛋白最可能相互作用的候选化合物。细胞毒性和摄取实验证实了它们对 P-糖蛋白过表达的 CEM/ADR5000 和 BCRP 过表达的 MDA-MD-231-BCRP 细胞系的毒性相互作用。为了具体观察到对 P-糖蛋白抑制剂 2,2'-亚甲基双(6-叔丁基-4-甲基苯酚)的实验结果,我们进行了活细胞延时显微镜观察。共聚焦荧光显微镜用于了解分子的行为及其对众所周知的底物阿霉素摄取的影响,并与已知抑制剂维拉帕米进行比较。基于这些结果,我们提供了证据表明,所研究的化合物是 P-糖蛋白的抑制剂。此外,还有可能 2,2'-亚甲基双(6-叔丁基-4-甲基苯酚)与其他三种化合物一起抑制乳腺癌耐药蛋白。这一发现意味着与塑料相关的化合物不仅会伤害人体,还会抑制解毒外排泵,这会增加它们的毒性潜力,因为这些转运蛋白失去了生理功能。

https://cdn.ncbi.nlm.nih.gov/pmc/blobs/1954/10058098/bfde0d92ab73/molecules-28-02710-g001.jpg

文献AI研究员

20分钟写一篇综述,助力文献阅读效率提升50倍。

立即体验

用中文搜PubMed

大模型驱动的PubMed中文搜索引擎

马上搜索

文档翻译

学术文献翻译模型,支持多种主流文档格式。

立即体验