Suppr超能文献

基于孟德尔随机化研究的月经初潮年龄与良性食管肿瘤之间的遗传因果关系。

Genetic causal relationship between age at menarche and benign oesophageal neoplasia identified by a Mendelian randomization study.

机构信息

Department of Clinical Laboratory Medicine, Cancer Hospital of Shantou University Medical College, Shantou, China.

Esophageal Cancer Prevention and Control Research Center, Cancer Hospital of Shantou University Medical College, Shantou, China.

出版信息

Front Endocrinol (Lausanne). 2023 Mar 21;14:1113765. doi: 10.3389/fendo.2023.1113765. eCollection 2023.

Abstract

OBJECTIVE

The occurrence and development of oesophageal neoplasia (ON) is closely related to hormone changes. The aim of this study was to investigate the causal relationships between age at menarche (AAMA) or age at menopause (AAMO) and benign oesophageal neoplasia (BON) or malignant oesophageal neoplasia (MON) from a genetic perspective.

METHODS

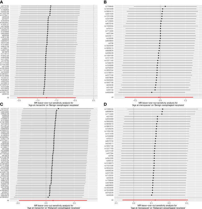
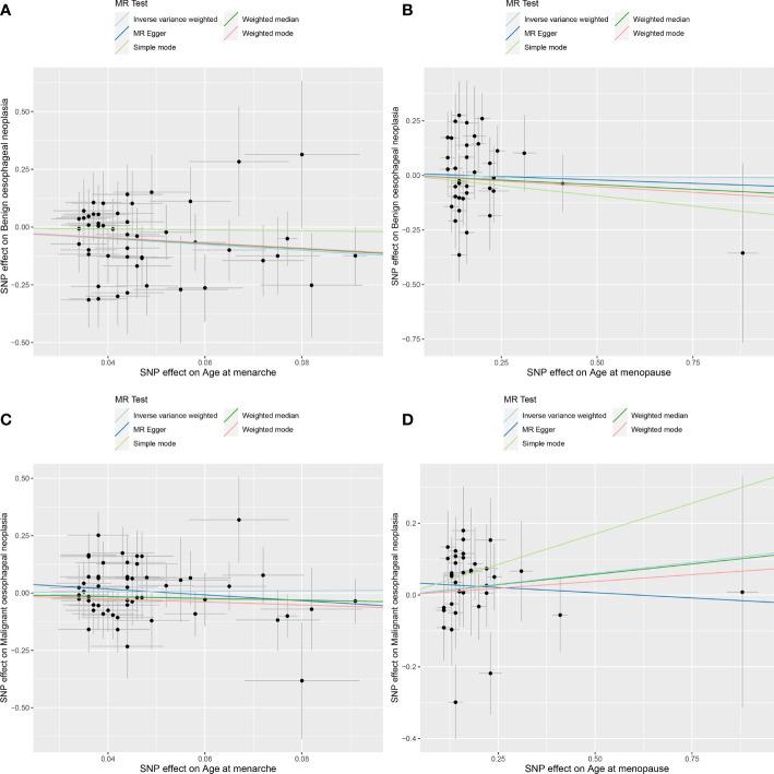
Genome-wide association study (GWAS) summary data of exposures (AAMA and AAMO) and outcomes (BON and MON) were obtained from the IEU OpenGWAS database. We performed a two-sample Mendelian randomization (MR) study between them. The inverse variance weighted (IVW) was used as the main analysis method, while the MR Egger, weighted median, simple mode, and weighted mode were supplementary methods. The maximum likelihood, penalized weighted median, and IVW (fixed effects) were validation methods. We used Cochran's Q statistic and Rucker's Q statistic to detect heterogeneity. The intercept test of the MR Egger and global test of MR pleiotropy residual sum and outlier (MR-PRESSO) were used to detect horizontal pleiotropy, and the distortion test of the MR-PRESSO analysis was used to detect outliers. The leave-one-out analysis was used to detect whether the MR analysis was affected by single nucleotide polymorphisms (SNPs). In addition, the MR robust adjusted profile score (MR-RAPS) method was used to assess the robustness of MR analysis.

RESULTS

The random-effects IVW results showed that AAMA had a negative genetic causal relationship with BON (odds ratio [OR] = 0.285 [95% confidence interval [CI]: 0.130-0.623], = 0.002). The weighted median, maximum likelihood, penalized weighted median, and IVW (fixed effects) were consistent with random-effects IVW ( < 0.05). The MR Egger, simple mode and weighted mode results showed that AAMA had no genetic causal relationship with BON ( > 0.05). However, there were no causal genetic relationships between AAMA and MON (OR = 1.132 [95%CI: 0.621-2.063], = 0.685), AAMO and BON (OR = 0.989 [95%CI: 0.755-1.296], = 0.935), or AAMO and MON (OR = 1.129 [95%CI: 0.938-1.359], = 0.200). The MR Egger, weighted median, simple mode, weighted mode, maximum likelihood, penalized weighted median, and IVW (fixed effects) were consistent with a random-effects IVW ( > 0.05). MR analysis results showed no heterogeneity, the horizontal pleiotropy and outliers ( > 0.05). They were not driven by a single SNP, and were normally distributed ( > 0.05).

CONCLUSION

Only AAMA has a negative genetic causal relationship with BON, and no genetic causal relationships exist between AAMA and MON, AAMO and BON, or AAMO and MON. However, it cannot be ruled out that they are related at other levels besides genetics.

摘要

目的

食管肿瘤(ON)的发生和发展与激素变化密切相关。本研究旨在从遗传角度探讨初潮年龄(AAMA)或绝经年龄(AAMO)与良性食管肿瘤(BON)或恶性食管肿瘤(MON)之间的因果关系。

方法

从 IEU OpenGWAS 数据库中获取暴露因素(AAMA 和 AAMO)和结局因素(BON 和 MON)的全基因组关联研究(GWAS)汇总数据。我们在它们之间进行了两样本 Mendelian 随机化(MR)研究。使用逆方差加权(IVW)作为主要分析方法,同时使用 MR Egger、加权中位数、简单模式和加权模式作为补充方法。最大似然、惩罚加权中位数和 IVW(固定效应)作为验证方法。我们使用 Cochran's Q 统计量和 Rucker's Q 统计量来检测异质性。使用 MR Egger 的截距检验和 MR 多效性残差和异常值的全局检验(MR-PRESSO)来检测水平多效性,并使用 MR-PRESSO 分析的扭曲检验来检测异常值。使用单核苷酸多态性(SNP)缺失分析来检测 MR 分析是否受到单个 SNP 的影响。此外,还使用 MR 稳健调整轮廓评分(MR-RAPS)方法来评估 MR 分析的稳健性。

结果

随机效应 IVW 结果表明,AAMA 与 BON 呈负遗传因果关系(比值比 [OR] = 0.285 [95%置信区间 [CI]:0.130-0.623], = 0.002)。加权中位数、最大似然、惩罚加权中位数和 IVW(固定效应)与随机效应 IVW 一致( < 0.05)。MR Egger、简单模式和加权模式结果表明,AAMA 与 BON 之间没有遗传因果关系( > 0.05)。然而,AAMA 与 MON 之间(OR = 1.132 [95%CI:0.621-2.063], = 0.685)、AAMO 与 BON 之间(OR = 0.989 [95%CI:0.755-1.296], = 0.935)或 AAMO 与 MON 之间(OR = 1.129 [95%CI:0.938-1.359], = 0.200)没有遗传因果关系。MR Egger、加权中位数、简单模式、加权模式、最大似然、惩罚加权中位数和 IVW(固定效应)与随机效应 IVW 一致( > 0.05)。MR 分析结果显示无异质性、水平多效性和异常值( > 0.05)。它们不受单个 SNP 的驱动,且呈正态分布( > 0.05)。

结论

仅 AAMA 与 BON 呈负遗传因果关系,AAMA 与 MON、AAMO 与 BON 或 AAMO 与 MON 之间不存在遗传因果关系。然而,不能排除它们在遗传以外的其他水平上存在关联。

https://cdn.ncbi.nlm.nih.gov/pmc/blobs/9f37/10071044/b409b2b0f5f2/fendo-14-1113765-g001.jpg

文献AI研究员

20分钟写一篇综述,助力文献阅读效率提升50倍。

立即体验

用中文搜PubMed

大模型驱动的PubMed中文搜索引擎

马上搜索

文档翻译

学术文献翻译模型,支持多种主流文档格式。

立即体验