Suppr超能文献

评估斑马鱼在单独及联合暴露于聚苯乙烯微塑料和土霉素后非酒精性脂肪肝病症状和肠-肝轴状态。

Assessment of Nonalcoholic Fatty Liver Disease Symptoms and Gut-Liver Axis Status in Zebrafish after Exposure to Polystyrene Microplastics and Oxytetracycline, Alone and in Combination.

机构信息

College of Animal Sciences, Zhejiang University, Hangzhou, P.R. China.

College of Life Science, Kim Hyong Jik University of Education, Pyongyang, DPR Korea.

出版信息

Environ Health Perspect. 2023 Apr;131(4):47006. doi: 10.1289/EHP11600. Epub 2023 Apr 7.

Abstract

BACKGROUND

Environmental pollution may give rise to the incidence and progression of nonalcoholic fatty liver disease (NAFLD), the most common cause for chronic severe liver lesions. Although knowledge of NAFLD pathogenesis is particularly important for the development of effective prevention, the relationship between NAFLD occurrence and exposure to emerging pollutants, such as microplastics (MPs) and antibiotic residues, awaits assessment.

OBJECTIVES

This study aimed to evaluate the toxicity of MPs and antibiotic residues related to NAFLD occurrence using the zebrafish model species.

METHODS

Taking common polystyrene MPs and oxytetracycline (OTC) as representatives, typical NAFLD symptoms, including lipid accumulation, liver inflammation, and hepatic oxidative stress, were screened after 28-d exposure to environmentally realistic concentrations of MPs () and antibiotic residue (). The impacts of MPs and OTC on gut health, the gut-liver axis, and hepatic lipid metabolism were also investigated to reveal potential affecting mechanisms underpinning the NAFLD symptoms observed.

RESULTS

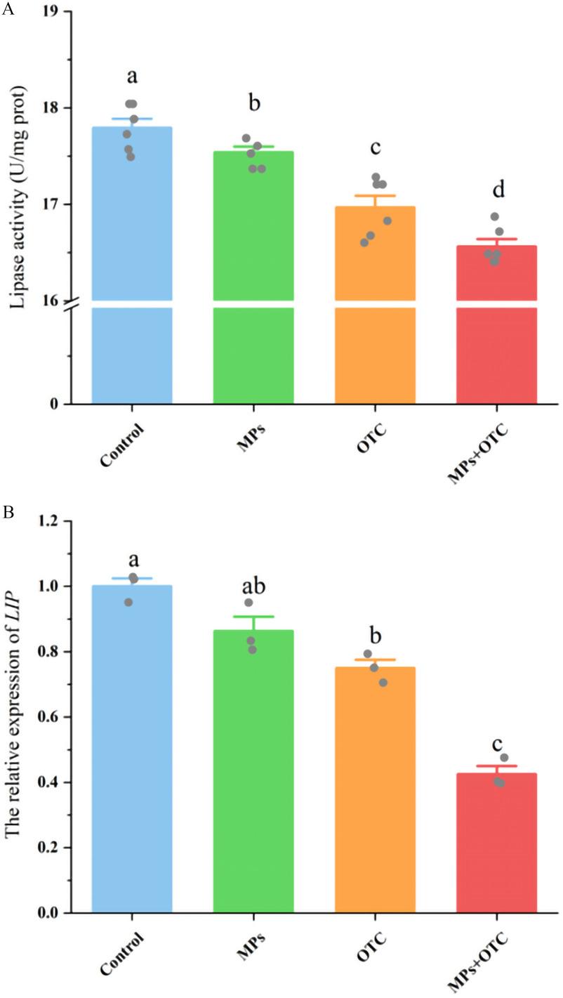
Compared with the control fish, zebrafish exposed to MPs and OTC exhibited significantly higher levels of lipid accumulation, triglycerides, and cholesterol contents, as well as inflammation, in conjunction with oxidative stress in their livers. In addition, a markedly smaller proportion of Proteobacteria and higher ratios of Firmicutes/Bacteroidetes were detected by microbiome analysis of gut contents in treated samples. After the exposures, the zebrafish also experienced intestinal oxidative injury and yielded significantly fewer numbers of goblet cells. Markedly higher levels of the intestinal bacteria-sourced endotoxin lipopolysaccharide (LPS) were also detected in serum. Animals treated with MPs and OTC exhibited higher expression levels of LPS binding receptor () and downstream inflammation-related genes while also exhibiting lower activity and gene expression of lipase. Furthermore, MP-OTC coexposure generally exerted more severe effects compared with single MP or OTC exposure.

DISCUSSION

Our results suggested that exposure to MPs and OTC may disrupt the gut-liver axis and be associated with NAFLD occurrence. https://doi.org/10.1289/EHP11600.

摘要

背景

环境污染可能导致非酒精性脂肪性肝病(NAFLD)的发生和进展,这是非酒精性严重肝损伤的最常见原因。尽管了解 NAFLD 的发病机制对于开发有效的预防措施尤为重要,但 NAFLD 发生与新兴污染物(如微塑料(MPs)和抗生素残留)暴露之间的关系仍有待评估。

目的

本研究旨在使用斑马鱼模型物种评估与 NAFLD 发生相关的 MPs 和抗生素残留的毒性。

方法

以常见的聚苯乙烯 MPs 和土霉素(OTC)为代表,在暴露于环境现实浓度的 MPs()和抗生素残留()28 天后,筛选出典型的 NAFLD 症状,包括脂质积累、肝炎症和肝氧化应激。还研究了 MPs 和 OTC 对肠道健康、肠-肝轴和肝脂质代谢的影响,以揭示观察到的 NAFLD 症状的潜在影响机制。

结果

与对照鱼相比,暴露于 MPs 和 OTC 的斑马鱼肝脏中脂质积累、甘油三酯和胆固醇含量显著升高,同时伴有炎症和氧化应激。此外,通过处理样本的肠道内容物的微生物组分析,检测到肠道内容物中的变形菌门比例明显较小,厚壁菌门/拟杆菌门比值更高。暴露后,斑马鱼还经历了肠道氧化损伤,产生的杯状细胞数量明显减少。血清中也检测到明显更高水平的肠道细菌来源内毒素脂多糖(LPS)。用 MPs 和 OTC 处理的动物表现出 LPS 结合受体()和下游炎症相关基因的表达水平更高,而脂肪酶的活性和基因表达水平更低。此外,与单独暴露于 MPs 或 OTC 相比,MP-OTC 共暴露通常会产生更严重的影响。

讨论

我们的结果表明,暴露于 MPs 和 OTC 可能会破坏肠-肝轴,并与 NAFLD 的发生有关。https://doi.org/10.1289/EHP11600.

https://cdn.ncbi.nlm.nih.gov/pmc/blobs/ffd8/10081693/ea0f0d9a75ce/ehp11600_f1.jpg

文献AI研究员

20分钟写一篇综述,助力文献阅读效率提升50倍。

立即体验

用中文搜PubMed

大模型驱动的PubMed中文搜索引擎

马上搜索

文档翻译

学术文献翻译模型,支持多种主流文档格式。

立即体验