Suppr超能文献

雅加达的空气污染与气象条件综合分析。

An integrated analysis of air pollution and meteorological conditions in Jakarta.

机构信息

Fakultas Teknologi Informasi, Universitas Tarumanagara, Jakarta, Indonesia.

出版信息

Sci Rep. 2023 Apr 9;13(1):5798. doi: 10.1038/s41598-023-32817-9.

Abstract

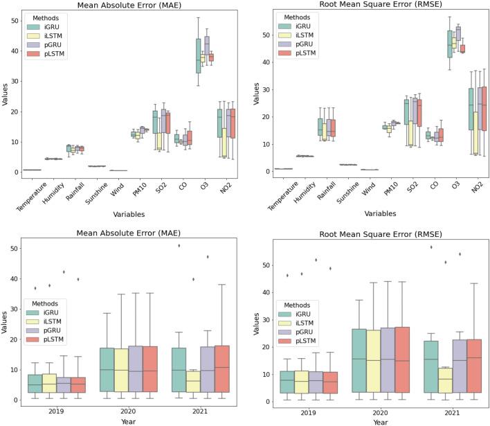
Air pollution and climate change are general problems for society. This paper proposes an integrated analysis of the Air Quality Index (AQI) and meteorological conditions in Jakarta. The column-based data integration model is applied to create integrated data of the Air Quality Index and meteorological conditions. The integrated data is then used to generate a causal graph using the PC algorithm. The causal graph reveals that there exist causal relationships between pollutants and meteorological conditions, e.g, humidity, rainfall, wind speed, and duration of sunshine affect particulate matter 10 (PM[Formula: see text]); wind speed affects sulfur dioxide (SO[Formula: see text]); temperature affects ozone (O[Formula: see text]). The historical data records that the average wind speed is decreased and the number of unhealthy days has risen. Ozone and particulate matter are two pollutants that mainly influence poor air quality in Jakarta. The integrated data is also used to train Long Short-Term Memory (LSTM) and Gated Recurrent Unit (GRU) for forecasting. Experimental results show that LSTM using integrated data produces smaller errors for forecasting AQI and meteorological conditions.

摘要

空气污染和气候变化是社会面临的普遍问题。本文提出了一种综合分析雅加达空气质量指数(AQI)和气象条件的方法。应用基于列的数据集成模型来创建空气质量指数和气象条件的综合数据。然后使用 PC 算法生成因果图。因果图揭示了污染物和气象条件之间存在因果关系,例如,湿度、降雨量、风速和日照时间会影响颗粒物 10(PM[Formula: see text]);风速会影响二氧化硫(SO[Formula: see text]);温度会影响臭氧(O[Formula: see text])。历史数据记录表明,平均风速下降,不健康天数增加。臭氧和颗粒物是影响雅加达空气质量差的两种主要污染物。综合数据还用于训练长短期记忆(LSTM)和门控循环单元(GRU)进行预测。实验结果表明,使用综合数据的 LSTM 产生的 AQI 和气象条件预测误差较小。

https://cdn.ncbi.nlm.nih.gov/pmc/blobs/68e7/10083178/7a6f5036dbf3/41598_2023_32817_Fig1_HTML.jpg

文献AI研究员

20分钟写一篇综述,助力文献阅读效率提升50倍。

立即体验

用中文搜PubMed

大模型驱动的PubMed中文搜索引擎

马上搜索

文档翻译

学术文献翻译模型,支持多种主流文档格式。

立即体验