Suppr超能文献

接受连续血糖监测的青少年在确诊后第一年的血红蛋白 A1c 水平存在差异。

Disparities in Hemoglobin A1c Levels in the First Year After Diagnosis Among Youths With Type 1 Diabetes Offered Continuous Glucose Monitoring.

机构信息

Division of Pediatric Endocrinology, Department of Pediatrics, Stanford University, Stanford, California.

Division of Biomedical Informatics Research, Department of Medicine, Stanford University, Stanford, California.

出版信息

JAMA Netw Open. 2023 Apr 3;6(4):e238881. doi: 10.1001/jamanetworkopen.2023.8881.

Abstract

IMPORTANCE

Continuous glucose monitoring (CGM) is associated with improvements in hemoglobin A1c (HbA1c) in youths with type 1 diabetes (T1D); however, youths from minoritized racial and ethnic groups and those with public insurance face greater barriers to CGM access. Early initiation of and access to CGM may reduce disparities in CGM uptake and improve diabetes outcomes.

OBJECTIVE

To determine whether HbA1c decreases differed by ethnicity and insurance status among a cohort of youths newly diagnosed with T1D and provided CGM.

DESIGN, SETTING, AND PARTICIPANTS: This cohort study used data from the Teamwork, Targets, Technology, and Tight Control (4T) study, a clinical research program that aims to initiate CGM within 1 month of T1D diagnosis. All youths with new-onset T1D diagnosed between July 25, 2018, and June 15, 2020, at Stanford Children's Hospital, a single-site, freestanding children's hospital in California, were approached to enroll in the Pilot-4T study and were followed for 12 months. Data analysis was performed and completed on June 3, 2022.

EXPOSURES

All eligible participants were offered CGM within 1 month of diabetes diagnosis.

MAIN OUTCOMES AND MEASURES

To assess HbA1c change over the study period, analyses were stratified by ethnicity (Hispanic vs non-Hispanic) or insurance status (public vs private) to compare the Pilot-4T cohort with a historical cohort of 272 youths diagnosed with T1D between June 1, 2014, and December 28, 2016.

RESULTS

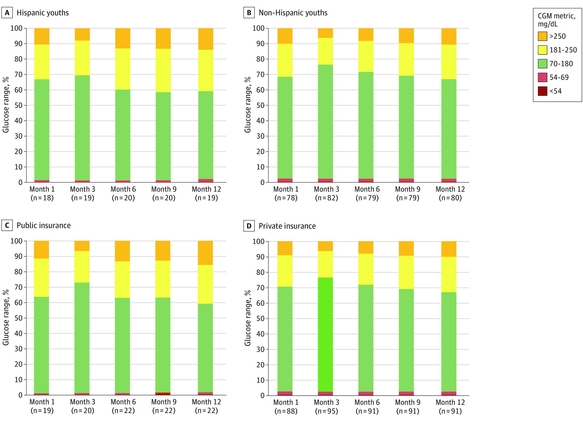
The Pilot-4T cohort comprised 135 youths, with a median age of 9.7 years (IQR, 6.8-12.7 years) at diagnosis. There were 71 boys (52.6%) and 64 girls (47.4%). Based on self-report, participants' race was categorized as Asian or Pacific Islander (19 [14.1%]), White (62 [45.9%]), or other race (39 [28.9%]); race was missing or not reported for 15 participants (11.1%). Participants also self-reported their ethnicity as Hispanic (29 [21.5%]) or non-Hispanic (92 [68.1%]). A total of 104 participants (77.0%) had private insurance and 31 (23.0%) had public insurance. Compared with the historical cohort, similar reductions in HbA1c at 6, 9, and 12 months postdiagnosis were observed for Hispanic individuals (estimated difference, -0.26% [95% CI, -1.05% to 0.43%], -0.60% [-1.46% to 0.21%], and -0.15% [-1.48% to 0.80%]) and non-Hispanic individuals (estimated difference, -0.27% [95% CI, -0.62% to 0.10%], -0.50% [-0.81% to -0.11%], and -0.47% [-0.91% to 0.06%]) in the Pilot-4T cohort. Similar reductions in HbA1c at 6, 9, and 12 months postdiagnosis were also observed for publicly insured individuals (estimated difference, -0.52% [95% CI, -1.22% to 0.15%], -0.38% [-1.26% to 0.33%], and -0.57% [-2.08% to 0.74%]) and privately insured individuals (estimated difference, -0.34% [95% CI, -0.67% to 0.03%], -0.57% [-0.85% to -0.26%], and -0.43% [-0.85% to 0.01%]) in the Pilot-4T cohort. Hispanic youths in the Pilot-4T cohort had higher HbA1c at 6, 9, and 12 months postdiagnosis than non-Hispanic youths (estimated difference, 0.28% [95% CI, -0.46% to 0.86%], 0.63% [0.02% to 1.20%], and 1.39% [0.37% to 1.96%]), as did publicly insured youths compared with privately insured youths (estimated difference, 0.39% [95% CI, -0.23% to 0.99%], 0.95% [0.28% to 1.45%], and 1.16% [-0.09% to 2.13%]).

CONCLUSIONS AND RELEVANCE

The findings of this cohort study suggest that CGM initiation soon after diagnosis is associated with similar improvements in HbA1c for Hispanic and non-Hispanic youths as well as for publicly and privately insured youths. These results further suggest that equitable access to CGM soon after T1D diagnosis may be a first step to improve HbA1c for all youths but is unlikely to eliminate disparities entirely.

TRIAL REGISTRATION

ClinicalTrials.gov Identifier: NCT04336969.

摘要

重要性:连续血糖监测(CGM)与 1 型糖尿病(T1D)青少年的糖化血红蛋白(HbA1c)降低有关;然而,少数族裔和拥有公共保险的青少年在获得 CGM 方面面临更大的障碍。早期开始和获得 CGM 可能会减少 CGM 使用率的差异,并改善糖尿病的结局。

目的:确定在斯坦福儿童医院接受 CGM 治疗的新诊断为 T1D 的队列中,HbA1c 下降是否因种族和保险状况的不同而不同。

设计、地点和参与者:本队列研究使用了 Teamwork, Targets, Technology, and Tight Control(4T)研究的数据,这是一个旨在 1 个月内启动 CGM 的临床研究项目。所有在加利福尼亚州斯坦福儿童医院新诊断为 T1D 的患者都被邀请参加 Pilot-4T 研究,并随访 12 个月。数据分析于 2022 年 6 月 3 日完成。

暴露因素:所有符合条件的参与者在糖尿病诊断后 1 个月内都被提供 CGM。

主要结果和测量:为了评估研究期间 HbA1c 的变化,根据种族(西班牙裔与非西班牙裔)或保险状况(公共保险与私人保险)对分析进行分层,以比较 Pilot-4T 队列与 2014 年 6 月 1 日至 2016 年 12 月 28 日期间诊断为 T1D 的 272 名青少年的历史队列。

结果:Pilot-4T 队列包括 135 名青少年,诊断时的中位年龄为 9.7 岁(IQR,6.8-12.7 岁)。其中 71 名男孩(52.6%)和 64 名女孩(47.4%)。根据自我报告,参与者的种族被归类为亚洲或太平洋岛民(19 [14.1%])、白种人(62 [45.9%])或其他种族(39 [28.9%]);15 名参与者(11.1%)的种族缺失或未报告。参与者还自我报告其族裔为西班牙裔(29 [21.5%])或非西班牙裔(92 [68.1%])。104 名参与者(77.0%)拥有私人保险,31 名参与者(23.0%)拥有公共保险。与历史队列相比,在诊断后 6、9 和 12 个月时,西班牙裔个体(估计差异,-0.26%[95%CI,-1.05%至 0.43%],-0.60%[-1.46%至 0.21%],和-0.15%[-1.48%至 0.80%])和非西班牙裔个体(估计差异,-0.27%[95%CI,-0.62%至 0.10%],-0.50%[-0.81%至 -0.11%],和-0.47%[-0.91%至 0.06%])的 HbA1c 也有类似的降低。在诊断后 6、9 和 12 个月时,公共保险个体(估计差异,-0.52%[95%CI,-1.22%至 0.15%],-0.38%[-1.26%至 0.33%],和-0.57%[-2.08%至 0.74%])和私人保险个体(估计差异,-0.34%[95%CI,-0.67%至 0.03%],-0.57%[-0.85%至 -0.26%],和-0.43%[-0.85%至 0.01%])的 HbA1c 也有类似的降低。Pilot-4T 队列中西班牙裔青少年在诊断后 6、9 和 12 个月时的 HbA1c 高于非西班牙裔青少年(估计差异,0.28%[95%CI,-0.46%至 0.86%],0.63%[0.02%至 1.20%],和 1.39%[0.37%至 1.96%]),公共保险青少年也高于私人保险青少年(估计差异,0.39%[95%CI,-0.23%至 0.99%],0.95%[0.28%至 1.45%],和 1.16%[-0.09%至 2.13%])。

结论:这项队列研究的结果表明,CGM 的早期启动与西班牙裔和非西班牙裔青少年以及公共保险和私人保险青少年的 HbA1c 改善相似。这些结果进一步表明,在 T1D 诊断后尽快获得 CGM 可能是改善所有青少年 HbA1c 的第一步,但不太可能完全消除差异。

试验注册:ClinicalTrials.gov 标识符:NCT04336969。

https://cdn.ncbi.nlm.nih.gov/pmc/blobs/3c3d/10116368/d10c1317d00a/jamanetwopen-e238881-g001.jpg

文献AI研究员

20分钟写一篇综述,助力文献阅读效率提升50倍。

立即体验

用中文搜PubMed

大模型驱动的PubMed中文搜索引擎

马上搜索

文档翻译

学术文献翻译模型,支持多种主流文档格式。

立即体验