Suppr超能文献

-[3-(苯并[]噻唑-2-基)-6-溴-2-亚甲基苯并二氢吡喃-2-基]-4-甲基苯胺的晶体结构

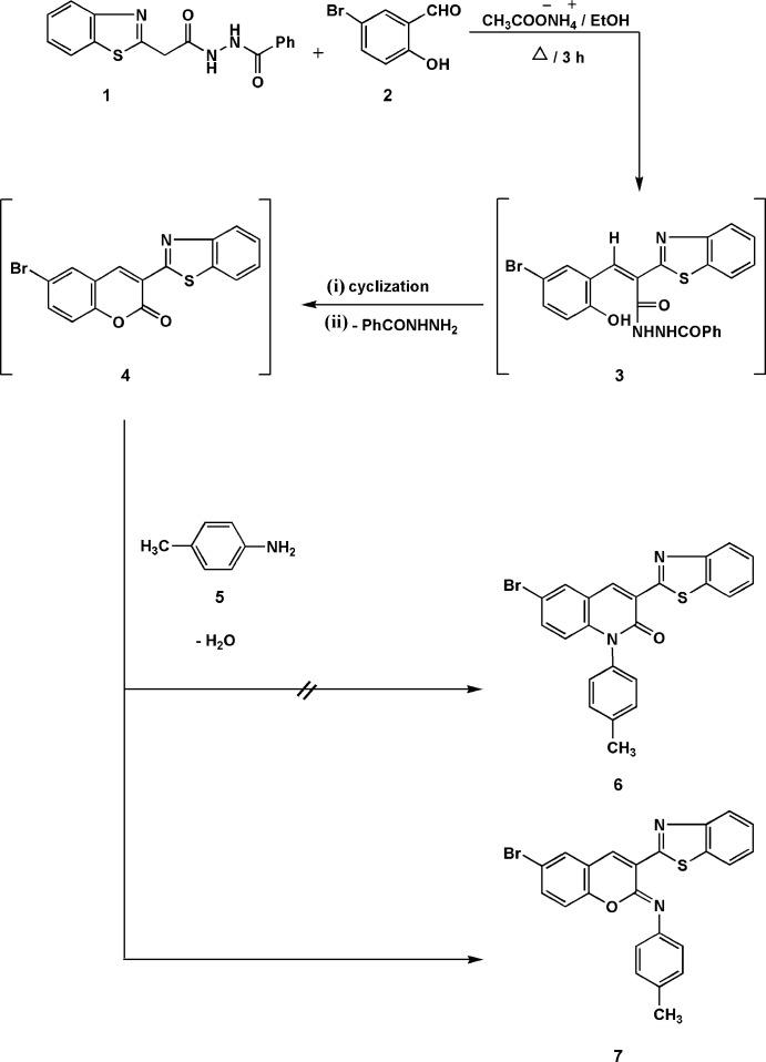
Crystal structure of -[3-(benzo[]thia-zol-2-yl)-6-bromo-2-chromen-2-yl-idene]-4-methyl-benzenamine.

作者信息

Abdallah Amira E M, Elgemeie Galal H, Jones Peter G

机构信息

Chemistry Department, Faculty of Science, Helwan University, Cairo, Egypt.

Institut für Anorganische und Analytische Chemie, Technische Universität Braunschweig, Hagenring 30, D-38106 Braunschweig, Germany.

出版信息

Acta Crystallogr E Crystallogr Commun. 2023 Apr 14;79(Pt 5):441-445. doi: 10.1107/S2056989023002979. eCollection 2023 Apr 1.

Abstract

The title compound, CHBrNOS, was the unexpected product in an attempted synthesis of the isomeric 3-(benzo[]thia-zol-2-yl)-6-bromo-1--tolyl-quinolin-2(1)-one. The C=N-C angle is wide [125.28 (8)°]. The benzo-thia-zole and chromene ring systems are almost coplanar, with their planes parallel to (10); the toluene ring system is rotated by 40° out of the chromene plane. The mol-ecular packing involves layers with π-stacking, borderline 'weak' hydrogen bonds and possible C-H⋯π contacts.

摘要

标题化合物CHBrNOS是在尝试合成异构体3-(苯并[]噻唑-2-基)-6-溴-1-对甲苯基喹啉-2(1)-酮时意外得到的产物。C=N-C角较宽[125.28 (8)°]。苯并噻唑和色烯环系统几乎共面,它们的平面与(10)平行;甲苯环系统相对于色烯平面旋转了40°。分子堆积涉及具有π堆积、临界“弱”氢键和可能的C-H⋯π接触的层。

https://cdn.ncbi.nlm.nih.gov/pmc/blobs/011d/10162085/b1c5c55e3ed4/e-79-00441-fig1.jpg

文献AI研究员

20分钟写一篇综述,助力文献阅读效率提升50倍。

立即体验

用中文搜PubMed

大模型驱动的PubMed中文搜索引擎

马上搜索

文档翻译

学术文献翻译模型,支持多种主流文档格式。

立即体验