Suppr超能文献

白细胞介素-7基因重组质粒在壳聚糖衍生纳米颗粒中的表达改善及其对小鼠免疫力的提升

Expression Improvement of Recombinant Plasmids of the Interleukin-7 Gene in Chitosan-Derived Nanoparticles and Their Elevation of Mice Immunity.

作者信息

Hou Wenli, Zhang Linhan, Chen Jianlin, Gu Yiren, Lv Xuebin, Zhang Xiuyue, Li Jiangling, Liu Hui, Gao Rong

机构信息

Key Laboratory for Bioresource and Eco-Environment of the Education Ministry, College of Life Sciences, Sichuan University, Chengdu 610064, China.

School of Laboratory Medicine, Chengdu Medical College, Chengdu 610500, China.

出版信息

Biology (Basel). 2023 Apr 28;12(5):667. doi: 10.3390/biology12050667.

Abstract

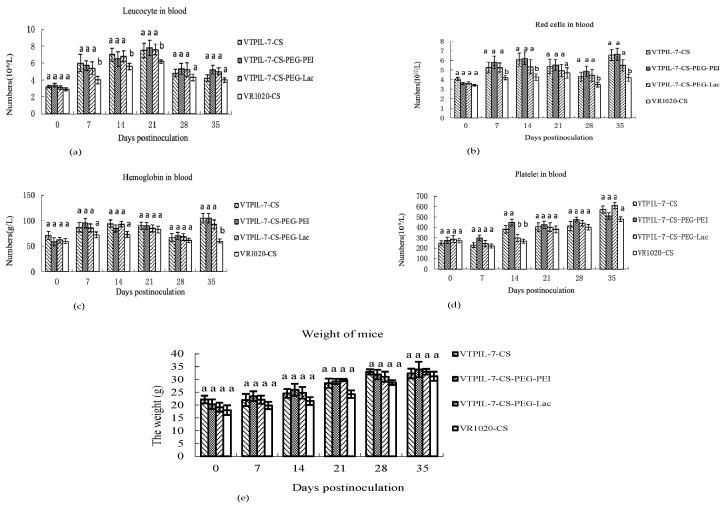
To investigate a safe and effective approach for enhancing the in vivo expression of recombinant genes and improving the systemic immunity of animals against infectious diseases, we employed the interleukin-7 (IL-7) gene from Tibetan pigs to construct a recombinant eukaryotic plasmid (VRTPIL-7). We first examined VRTPIL-7's bioactivity on porcine lymphocytes in vitro and then encapsulated it with polyethylenimine (PEI), chitosan copolymer (CS), PEG-modified galactosylated chitosan (CS-PEG-GAL) and methoxy poly (ethylene glycol) (PEG) and PEI-modified CS (CS-PEG-PEI) nanoparticles using the ionotropic gelation technique. Next, we intramuscularly or intraperitoneally injected mice with various nanoparticles containing VRTPIL-7 to evaluate their immunoregulatory effects in vivo. We observed a significant increase in neutralizing antibodies and specific IgG levels in response to the rabies vaccine in the treated mice compared to the controls. Treated mice also exhibited increased leukocytes, CD8+ and CD4+ T lymphocytes, and elevated mRNA levels of toll-like receptors (TLR1/4/6/9), IL-1, IL-2, IL-4, IL-6, IL-7, IL-23, and transforming growth factor-beta (TGF-β). Notably, the recombinant IL-7 gene encapsulated in CS-PEG-PEI induced the highest levels of immunoglobulins, CD4+ and CD8+ T cells, TLRs, and cytokines in the mice's blood, suggesting that chitosan-PEG-PEI may be a promising carrier for in vivo IL-7 gene expression and enhanced innate and adaptive immunity for the prevention of animal diseases.

摘要

为了研究一种安全有效的方法来增强重组基因的体内表达并提高动物对传染病的全身免疫力,我们利用藏猪的白细胞介素-7(IL-7)基因构建了一种重组真核质粒(VRTPIL-7)。我们首先在体外检测了VRTPIL-7对猪淋巴细胞的生物活性,然后使用离子凝胶技术将其与聚乙烯亚胺(PEI)、壳聚糖共聚物(CS)、聚乙二醇修饰的半乳糖化壳聚糖(CS-PEG-GAL)以及甲氧基聚(乙二醇)(PEG)和PEI修饰的CS(CS-PEG-PEI)纳米颗粒进行包封。接下来,我们给小鼠肌肉注射或腹腔注射含有VRTPIL-7的各种纳米颗粒,以评估它们在体内的免疫调节作用。与对照组相比,我们观察到经处理的小鼠对狂犬病疫苗产生了显著增加的中和抗体和特异性IgG水平。经处理的小鼠还表现出白细胞、CD8⁺和CD4⁺T淋巴细胞增加,以及Toll样受体(TLR1/4/6/9)、IL-1、IL-2、IL-4、IL-6、IL-7、IL-23和转化生长因子-β(TGF-β)的mRNA水平升高。值得注意的是,包裹在CS-PEG-PEI中的重组IL-7基因在小鼠血液中诱导了最高水平的免疫球蛋白、CD4⁺和CD8⁺T细胞、TLR和细胞因子,这表明壳聚糖-PEG-PEI可能是一种有前途的载体,用于体内IL-7基因表达以及增强先天性和适应性免疫力以预防动物疾病。

https://cdn.ncbi.nlm.nih.gov/pmc/blobs/0108/10215597/987cb05b0310/biology-12-00667-g001.jpg

文献AI研究员

20分钟写一篇综述,助力文献阅读效率提升50倍。

立即体验

用中文搜PubMed

大模型驱动的PubMed中文搜索引擎

马上搜索

文档翻译

学术文献翻译模型,支持多种主流文档格式。

立即体验