Suppr超能文献

银-N-杂环卡宾配合物的合成、表征、抗菌性能及抗氧化活性

Synthesis, Characterization, Antimicrobial Properties, and Antioxidant Activities of Silver-N-Heterocyclic Carbene Complexes.

作者信息

Bensalah Donia, Gurbuz Nevin, Özdemir Ismail, Gatri Rafik, Mansour Lamjed, Hamdi Naceur

机构信息

Research Laboratory of Environmental Sciences and Technologies (LR16ES09), Higher Institute of Environmental Sciences and Technology, University of Carthage, Hammam-Lif, Tunisia.

İnönü University, Faculty of Science and Art, Department of Chemistry, Malatya 44280, Turkey.

出版信息

Bioinorg Chem Appl. 2023 May 26;2023:3066299. doi: 10.1155/2023/3066299. eCollection 2023.

Abstract

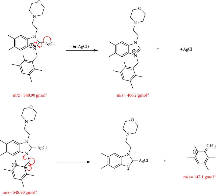
The emergence of antimicrobial resistance has become a major handicap in the fight against bacterial infections, prompting researchers to develop new, more effective, and multimodal alternatives. Silver and its complexes have long been used as antimicrobial agents in medicine because of their lack of resistance to silver, their low potency at low concentrations, and their low toxicity compared to most commonly used antibiotics. N-Heterocyclic carbenes (NHCs) are widely used for coordination of transition metals, mainly in catalytic chemistry. In this study, several N-alkylated benzimidazolium salts - were synthesized. Then, the N-heterocyclic carbene (NHC) precursor was treated with AgO to give silver (I) NHC complexes (3a-j) at room temperature in dichloromethane for 48 h. Ten new silver-NHC complexes were fully characterized by nuclear magnetic resonance (NMR), Fourier transform infrared spectroscopy (FT-IR), elemental analysis, and LC-MSMS (for complexes) techniques. The antibacterial and antioxidant activities of salt and its silver complex 3 were evaluated. All of these complexes were more effective against bacterial strains than comparable ligands. With MIC values ranging from 6.25 to 100 g/ml, the Ag-NHC complex effectively showed strong antibacterial activity. Antioxidant activity was also tested using conventional techniques, such as 2, 2-diphenyl-1-picrylhydrazine (DPPH) and hydrogen peroxide scavenging assays. In DPPH and ABTS experiments, compounds , , , , and showed significant clearance.

摘要

抗菌耐药性的出现已成为抗击细菌感染的一大障碍,促使研究人员开发新的、更有效且多模式的替代方案。由于细菌对银缺乏耐药性、银在低浓度下效力低且与大多数常用抗生素相比毒性低,银及其配合物长期以来一直被用作医学上的抗菌剂。N-杂环卡宾(NHCs)广泛用于过渡金属的配位,主要应用于催化化学领域。在本研究中,合成了几种N-烷基化苯并咪唑盐。然后,将N-杂环卡宾(NHC)前体与氧化银在二氯甲烷中于室温下处理48小时,得到银(I)NHC配合物(3a - j)。通过核磁共振(NMR)、傅里叶变换红外光谱(FT - IR)、元素分析和LC - MSMS(用于配合物)技术对十种新型银 - NHC配合物进行了全面表征。评估了盐及其银配合物3的抗菌和抗氧化活性。所有这些配合物对细菌菌株的效果均优于可比配体。Ag - NHC配合物的最低抑菌浓度(MIC)值在6.25至100μg/ml之间,有效显示出强大的抗菌活性。还使用常规技术,如2,2 - 二苯基 - 1 - 苦基肼(DPPH)和过氧化氢清除试验测试了抗氧化活性。在DPPH和ABTS实验中,化合物、、、、和显示出显著的清除效果。

https://cdn.ncbi.nlm.nih.gov/pmc/blobs/7917/10238139/a57d65d64deb/BCA2023-3066299.sch.001.jpg

文献AI研究员

20分钟写一篇综述,助力文献阅读效率提升50倍。

立即体验

用中文搜PubMed

大模型驱动的PubMed中文搜索引擎

马上搜索

文档翻译

学术文献翻译模型,支持多种主流文档格式。

立即体验