Suppr超能文献

在非生物胁迫下鉴定和表达的 C-重复结合因子转录因子的全基因组。

Genome-Wide Identification and Expression Profiles of C-Repeat Binding Factor Transcription Factors in under Abiotic Stress.

机构信息

State Key Laboratory of Tree Genetics and Breeding, Northeast Forestry University, Harbin 150040, China.

出版信息

Int J Mol Sci. 2023 Jun 24;24(13):10573. doi: 10.3390/ijms241310573.

Abstract

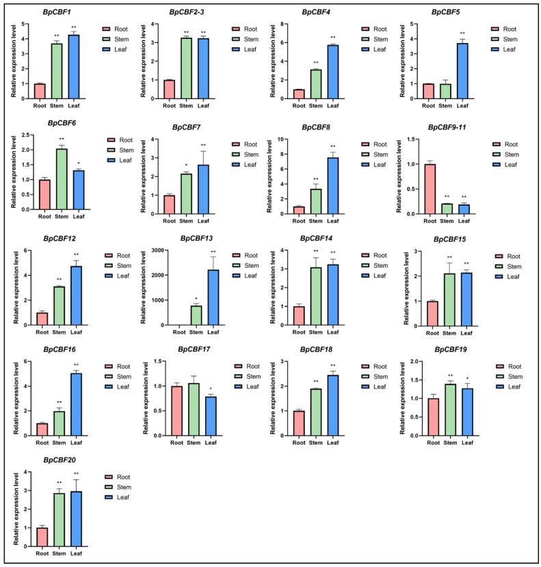
CBF (C-repeat binding factor) transcription factor subfamily belongs to AP2/ERF (Apetala 2/ethylene-responsive factor) transcription factor family, known for playing a vital role in plant abiotic stress response. Although some CBF transcription factors have been identified in several species, such as , tobacco, tomato and poplar, research of CBF focus mainly on model plant and have not been reported in yet. In this study, a total of 20 BpCBF subfamily members were identified. The conserved domains, physicochemical properties, exon-intron gene structure and the structure of conserved protein motifs of BpCBFs were analyzed via bioinformatic tools. The collinearity analysis of CBF genes was performed between and , and . The -acting elements in the promoter region of s were identified, which were mainly environmental stress-related and hormone-related element components. In this case, the expression patterns of the 20 s upon ABA or salt treatment were investigated. Most of these transcription factors were responsive to ABA or salt stress in different plant tissues. The up-regulation trend upon cold treatment of the six cold-responsive genes validated by qRT-PCR was consistent with the result of RNA-seq. BpCBF7 showed transcription activating activity. This study sheds light on the responses of BpCBFs to abiotic stress and provides a reference for further study of CBF transcription factors in woody plants.

摘要

CBF(C-repeat binding factor)转录因子亚家族属于 AP2/ERF(Apetala 2/ethylene-responsive factor)转录因子家族,已知在植物非生物胁迫反应中发挥重要作用。虽然已经在一些物种中鉴定出了一些 CBF 转录因子,如拟南芥、烟草、番茄和杨树,但 CBF 的研究主要集中在模式植物上,尚未在 中报道。在这项研究中,共鉴定出 20 个 BpCBF 亚家族成员。通过生物信息学工具分析了 BpCBFs 的保守结构域、理化性质、外显子-内含子基因结构和保守蛋白基序结构。对 和 、 和 之间 CBF 基因的共线性分析表明, 和 之间的基因结构更保守。鉴定了 启动子区中的 - 作用元件,主要是与环境胁迫和激素相关的元件成分。在此情况下,研究了 20 个 在 ABA 或盐处理下的表达模式。这些转录因子大多数在不同的植物组织中对 ABA 或盐胁迫有反应。qRT-PCR 验证的 6 个冷响应基因在冷处理下的上调趋势与 RNA-seq 的结果一致。BpCBF7 显示出转录激活活性。本研究阐明了 BpCBFs 对非生物胁迫的反应,为进一步研究木本植物 CBF 转录因子提供了参考。

https://cdn.ncbi.nlm.nih.gov/pmc/blobs/079c/10342014/35ba30bf4f64/ijms-24-10573-g001.jpg

文献AI研究员

20分钟写一篇综述,助力文献阅读效率提升50倍。

立即体验

用中文搜PubMed

大模型驱动的PubMed中文搜索引擎

马上搜索

文档翻译

学术文献翻译模型,支持多种主流文档格式。

立即体验