Suppr超能文献

改良乳过氧化物酶系统作为一种有前途的抗龋剂:生物膜的体外研究。

Modified Lactoperoxidase System as a Promising Anticaries Agent: In Vitro Studies on Biofilms.

机构信息

Department of Medical Diagnostics, Faculty of Pharmacy, Jagiellonian University Medical College, Medyczna 9, 30-688 Kraków, Poland.

Doctoral School of Health and Medical Sciences, Jagiellonian University Medical College, św. Łazarza 16, 31-008 Kraków, Poland.

出版信息

Int J Mol Sci. 2023 Jul 28;24(15):12136. doi: 10.3390/ijms241512136.

Abstract

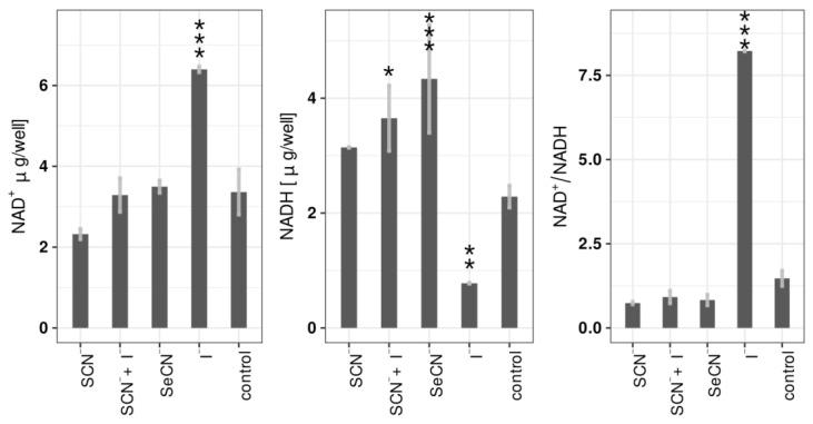
The lactoperoxidase (LPO) system shows promise in the prevention of dental caries, a common chronic disease. This system has antimicrobial properties and is part of the non-specific antimicrobial immune system. Understanding the efficacy of the LPO system in the fight against biofilms could provide information on alternative strategies for the prevention and treatment of caries. In this study, the enzymatic system was modified using four different (pseudo)halide substrates (thiocyanate, thiocyanate-iodide mixture, selenocyanate, and iodide). The study evaluated the metabolic effects of applying such modifications to ; in particular: (1) biofilm formation, (2) synthesis of insoluble polysaccharides, (3) lactate synthesis, (4) glucose and sucrose consumption, (5) intracellular NAD and NADH concentrations, and (6) transmembrane glucose transport efficiency (PTS activity). The results showed that the LPO-iodide system had the strongest inhibitory effect on biofilm growth and lactate synthesis (complete inhibition). This was associated with an increase in the NAD/NADH ratio and an inhibition of glucose PTS activity. The LPO-selenocyanate system showed a moderate inhibitory effect on biofilm biomass growth and lactate synthesis. The other systems showed relatively small inhibition of lactate synthesis and glucose PTS but no effect on the growth of biofilm biomass. This study provides a basis for further research on the use of alternative substrates with the LPO system, particularly the LPO-iodide system, in the prevention and control of biofilm-related diseases.

摘要

乳过氧化物酶(LPO)系统在预防龋齿方面显示出潜力,龋齿是一种常见的慢性疾病。该系统具有抗菌特性,是非特异性抗菌免疫系统的一部分。了解 LPO 系统在对抗生物膜方面的功效,可以为预防和治疗龋齿提供替代策略的信息。在这项研究中,使用四种不同的(拟)卤化物底物(硫氰酸盐、硫氰酸盐-碘化物混合物、硒氰酸盐和碘化物)对酶系统进行了修饰。该研究评估了将这些修饰应用于[特别是]以下方面的代谢效应:(1)生物膜形成,(2)不溶性多糖的合成,(3)乳酸的合成,(4)葡萄糖和蔗糖的消耗,(5)细胞内 NAD 和 NADH 浓度,以及(6)跨膜葡萄糖转运效率(PTS 活性)。结果表明,LPO-碘化物系统对生物膜生长和乳酸合成具有最强的抑制作用(完全抑制)。这与 NAD/NADH 比值的增加和葡萄糖 PTS 活性的抑制有关。LPO-硒氰酸盐系统对生物膜生物量生长和乳酸合成表现出适度的抑制作用。其他系统对乳酸合成和葡萄糖 PTS 的抑制作用相对较小,但对生物膜生物量的生长没有影响。本研究为进一步研究使用替代底物与 LPO 系统(特别是 LPO-碘化物系统)在预防和控制与生物膜相关的疾病提供了依据。

https://cdn.ncbi.nlm.nih.gov/pmc/blobs/d156/10418824/a8e9d5894113/ijms-24-12136-g001.jpg

文献AI研究员

20分钟写一篇综述,助力文献阅读效率提升50倍。

立即体验

用中文搜PubMed

大模型驱动的PubMed中文搜索引擎

马上搜索

文档翻译

学术文献翻译模型,支持多种主流文档格式。

立即体验