Suppr超能文献

油棕幼苗的氮素利用效率:揭示提高外部铵供应的未开发潜力

Nitrogen Use Efficiency in Oil Palm Seedlings: Unraveling the Untapped Potential of Elevated External Ammonium Supply.

作者信息

De la Peña Marlon, Ruiz-Romero Rodrigo, Romero Hernán Mauricio

机构信息

Oil Palm Biology and Breeding Research Program, Colombian Oil Palm Research Center-Cenipalma, Bogotá 11121, Colombia.

Department of Biology, Universidad Nacional de Colombia, Bogotá 11132, Colombia.

出版信息

Plants (Basel). 2023 Jul 30;12(15):2819. doi: 10.3390/plants12152819.

Abstract

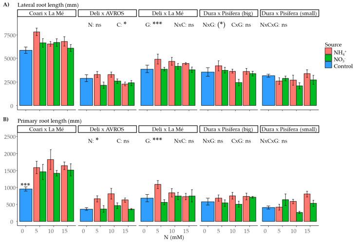
Ammonium (NH) is an essential nitrogen source for plants, but excessive exposure can trigger stress responses that vary among and within different plant species. This study investigated the phenotypic variations in response to ammonium nutrition in five oil palm genotypes seedlings. Nitrate nutrition was used as a reference for a non-stressful condition, and three different nitrogen concentrations (5, 10, and 15 mM) were examined. Control groups without external nitrogen application were included for each genotype. Several parameters were analyzed, including plant growth, root length, gas exchange, fluorescence, chlorophyll, reducing sugars, amino acids, proteins, and nitrogen uptake. The results revealed a significant genotype effect, particularly between the interspecific OxG hybrid and the genotypes. Ammonium nutrition increased shoot growth in all genotypes compared to nitrate nutrition. Additionally, there was a trend towards increased primary root length, amino acids, proteins, and nitrogen uptake under ammonium supply. These findings are promising, particularly considering the recommendation to use ammonium with inhibitors for environmental sustainability.

摘要

铵(NH)是植物必需的氮源,但过度暴露会引发不同植物物种之间以及同一物种内部各不相同的应激反应。本研究调查了五种油棕基因型幼苗对铵营养的表型变异。以硝酸盐营养作为无胁迫条件的参照,并检测了三种不同的氮浓度(5、10和15 mM)。每种基因型都设置了不施加外源氮的对照组。分析了多个参数,包括植株生长、根长、气体交换、荧光、叶绿素、还原糖、氨基酸、蛋白质和氮吸收。结果显示出显著的基因型效应,特别是在种间OxG杂种与其他基因型之间。与硝酸盐营养相比,铵营养使所有基因型的地上部生长增加。此外,在铵供应条件下,主根长度、氨基酸、蛋白质和氮吸收有增加的趋势。这些发现很有前景,特别是考虑到为实现环境可持续性而推荐使用含抑制剂的铵这一点。

https://cdn.ncbi.nlm.nih.gov/pmc/blobs/8d45/10421314/99b74c28ac16/plants-12-02819-g001.jpg

文献AI研究员

20分钟写一篇综述,助力文献阅读效率提升50倍。

立即体验

用中文搜PubMed

大模型驱动的PubMed中文搜索引擎

马上搜索

文档翻译

学术文献翻译模型,支持多种主流文档格式。

立即体验