Suppr超能文献

度普利尤单抗治疗中重度特应性皮炎期间屏障功能的超高频超声(UHFUS)评估

Ultra-High Frequency UltraSound (UHFUS) Assessment of Barrier Function in Moderate-to-Severe Atopic Dermatitis during Dupilumab Treatment.

作者信息

Dini Valentina, Iannone Michela, Michelucci Alessandra, Manzo Margiotta Flavia, Granieri Giammarco, Salvia Giorgia, Oranges Teresa, Janowska Agata, Morganti Riccardo, Romanelli Marco

机构信息

Department of Dermatology, University of Pisa, 56126 Pisa, Italy.

Unit of Dermatology, Department of Pediatrics, IRCCS Meyer Children's Hospital, 50139 Florence, Italy.

出版信息

Diagnostics (Basel). 2023 Aug 22;13(17):2721. doi: 10.3390/diagnostics13172721.

Abstract

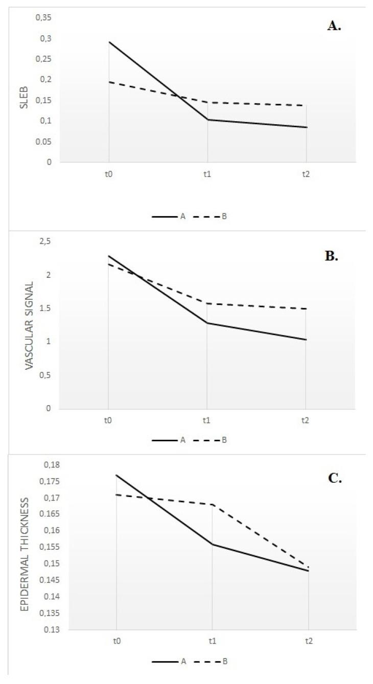
Atopic dermatitis (AD) is a chronic multifactorial inflammatory disease characterized by intense itching and inflammatory eczematous lesions. Biological disease-modifying drugs, such as dupilumab are recommended for patients with moderate-to-severe AD, refractory to systemic immunosuppressive therapies. Disease monitoring is performed by clinical scores. Since 1970, however, the use of ultrasound and particularly high-frequency ultrasound (HFUS), has identified alterations in dermal echogenicity, called the subepidermal low-echogenic band (SLEB), that correlates with disease severity and response to treatment. We enrolled 18 patients with moderate-to-severe AD, divided into two groups: twelve patients in the dupilumab treatment (Group A) and six patients in standard treatment, from February 2019 to November 2019. We performed ultra-high frequency ultrasound (UHFUS) evaluation of lesional and non-lesional skin, focusing on SLEB average thicknesses measurement, epidermal thickness, and vascular signal in correlation with objective disease scores (EASI, IGA), patient's reported scores (Sleep Quality NRS and Itch NRS), and TEWL and corneometry at baseline (T0), after 1 month (T1) and 2 months (T2). The SLEB average thickness measurement, vascular signal, and epidermal thickness showed a statistically significant reduction in lesional skin of the biological treatment group and no significant reduction in non-lesional skin in both groups. In the lesional skin of the standard treatment group, only epidermal thickness showed a statistically significant reduction. Our study demonstrates that SLEB measurement, vascular signals, and epidermal thickness could be used as objective parameters in monitoring the AD treatment response, while the presence of SLEB in non-lesional skin could be used as a marker of subclinical inflammation and could predict development of clinical lesions, suggesting a pro-active therapy. Further follow-up and research are needed to clarify the association of SLEB decrease/disappearance with a reduction of flares/prolongment of the disease remission time.

摘要

特应性皮炎(AD)是一种慢性多因素炎症性疾病,其特征为剧烈瘙痒和炎症性湿疹样皮损。对于中度至重度AD且对全身免疫抑制疗法无效的患者,推荐使用度普利尤单抗等生物疾病改善药物。疾病监测通过临床评分进行。然而,自1970年以来,超声尤其是高频超声(HFUS)的应用已发现真皮回声改变,即表皮下低回声带(SLEB),其与疾病严重程度及治疗反应相关。2019年2月至2019年11月,我们招募了18例中度至重度AD患者,分为两组:12例接受度普利尤单抗治疗(A组),6例接受标准治疗。我们对皮损和非皮损皮肤进行了超高频率超声(UHFUS)评估,重点测量SLEB平均厚度、表皮厚度和血管信号,并将其与客观疾病评分(EASI、IGA)、患者报告评分(睡眠质量数字评定量表和瘙痒数字评定量表)以及基线(T0)、1个月后(T1)和2个月后(T2)的经表皮水分流失(TEWL)和角质层测量值相关联。生物治疗组皮损皮肤的SLEB平均厚度测量值、血管信号和表皮厚度显示出统计学上的显著降低,而两组非皮损皮肤均无显著降低。在标准治疗组的皮损皮肤中,只有表皮厚度显示出统计学上的显著降低。我们的研究表明,SLEB测量、血管信号和表皮厚度可作为监测AD治疗反应的客观参数,而非皮损皮肤中SLEB的存在可作为亚临床炎症的标志物,并可预测临床皮损的发展,提示应采取积极治疗。需要进一步的随访和研究来阐明SLEB减少/消失与皮疹发作减少/疾病缓解时间延长之间的关联。

https://cdn.ncbi.nlm.nih.gov/pmc/blobs/908e/10487092/023867d18a62/diagnostics-13-02721-g001.jpg

文献AI研究员

20分钟写一篇综述,助力文献阅读效率提升50倍。

立即体验

用中文搜PubMed

大模型驱动的PubMed中文搜索引擎

马上搜索

文档翻译

学术文献翻译模型,支持多种主流文档格式。

立即体验