Suppr超能文献

预测评分模型选择适合转移性食管癌原发灶手术的患者。

A predictive scoring model to select suitable patients for surgery on primary tumor in metastatic esophageal cancer.

机构信息

School of Advanced Manufacturing Engineering, Hefei University, Hefei, China.

Department of Oncology, the First Affiliated Hospital of Anhui Medical University, Hefei, China.

出版信息

Cancer Rep (Hoboken). 2023 Dec;6(12):e1898. doi: 10.1002/cnr2.1898. Epub 2023 Sep 13.

Abstract

BACKGROUND

Surgery on primary tumor (SPT) has been a common treatment strategy for many types of cancer.

AIMS

This study aimed to investigate whether SPT could be considered a treatment option for metastatic esophageal cancer and to identify the patient population that would benefit the most from SPT.

METHODS

Data from 18 registration sites in the Surveillance, Epidemiology, and End Results Program database (SEER database) were analyzed to select patients with metastatic esophageal cancer. Multivariate Cox regression analysis was used to identify potential risk factors for pre-treatment survival. Variables with a p-value of less than 0.05 were used to construct a pre-treatment nomogram. A pre-surgery predictive model was then developed using the pre-surgery factors to score patients, called the "pre-surgery score". The optimal cut-off value for the "pre-surgery score" was determined using X-tile analysis, and patients were divided into high-risk and low-risk subsets. It was hypothesized that patients with a low "pre-surgery score" risk would benefit the most from SPT.

RESULTS

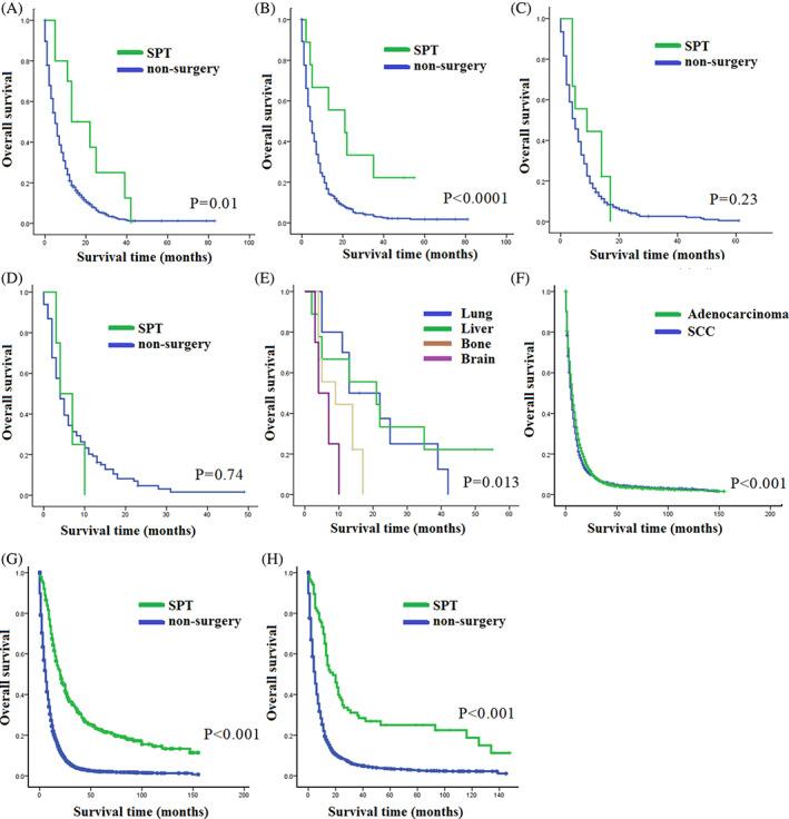
A total of 3793 patients were included in the analysis. SPT was found to be an independent risk factor for the survival of metastatic esophageal cancer patients. Subgroup analyses showed that patients with liver or lung metastases derived more benefit from SPT compared to those with bone or brain metastases. A pre-treatment predictive model was constructed to estimate the survival rates at one, two, and three years, which showed good accuracy (C-index: 0.705 for the training set and 0.701 for the validation set). Patients with a "pre-surgery score" below 4.9 were considered to have a low mortality risk and benefitted from SPT (SPT vs. non-surgery: median overall survival (OS): 24 months vs. 4 months, HR = 0.386, 95% CI: 0.303-0.491, p < 0.001).

CONCLUSION

This study demonstrated that SPT could improve the OS of patients with metastatic esophageal cancer. The pre-treatment scoring model developed in this study might be useful in identifying suitable candidates for SPT. The strengths of this study include the large patient sample size and rigorous statistical analyses. However, limitations should be noted due to the retrospective study design, and prospective studies are needed to validate the findings in the future.

摘要

背景

原发性肿瘤手术(SPT)一直是多种癌症的常见治疗策略。

目的

本研究旨在探讨 SPT 是否可被视为转移性食管癌的治疗选择,并确定最受益于 SPT 的患者人群。

方法

分析来自监测、流行病学和最终结果计划数据库(SEER 数据库)的 18 个登记站点的数据,以选择患有转移性食管癌的患者。采用多变量 Cox 回归分析确定治疗前生存的潜在风险因素。选择 p 值小于 0.05 的变量用于构建治疗前列线图。然后,使用治疗前因素对患者进行评分,建立手术前预测模型,称为“手术前评分”。使用 X-tile 分析确定“手术前评分”的最佳截断值,并将患者分为高危和低危亚组。假设低风险的“手术前评分”患者将从 SPT 中获益最大。

结果

共纳入 3793 例患者。SPT 是转移性食管癌患者生存的独立危险因素。亚组分析显示,与骨或脑转移患者相比,肝或肺转移患者从 SPT 中获益更多。构建了一个治疗前预测模型来估计一年、两年和三年的生存率,显示出良好的准确性(训练集的 C 指数为 0.705,验证集为 0.701)。“手术前评分”低于 4.9 的患者被认为死亡风险较低,从 SPT 中获益(SPT 与非手术:中位总生存期(OS):24 个月比 4 个月,HR=0.386,95%CI:0.303-0.491,p<0.001)。

结论

本研究表明 SPT 可提高转移性食管癌患者的 OS。本研究中开发的治疗前评分模型可能有助于识别适合 SPT 的候选者。本研究的优势在于患者样本量大且统计分析严谨。但是,由于研究设计为回顾性,因此存在局限性,未来需要前瞻性研究来验证这些发现。

https://cdn.ncbi.nlm.nih.gov/pmc/blobs/454d/10728509/8c91acb355a6/CNR2-6-e1898-g002.jpg

文献AI研究员

20分钟写一篇综述,助力文献阅读效率提升50倍。

立即体验

用中文搜PubMed

大模型驱动的PubMed中文搜索引擎

马上搜索

文档翻译

学术文献翻译模型,支持多种主流文档格式。

立即体验