Suppr超能文献

丹麦年轻男性的生育时父母年龄与生育力生物标志物

Parental age at birth and biomarkers of fecundity in young Danish men.

作者信息

Ernst Andreas, Brix Nis, Gaml-Sørensen Anne, Arendt Linn Håkonsen, Toft Gunnar, Tøttenborg Sandra Søgaard, Hougaard Karin Søring, Bonde Jens Peter Ellekilde, Ramlau-Hansen Cecilia Høst

机构信息

Research Unit for Epidemiology, Department of Public Health, Aarhus University, Aarhus, Denmark.

Department of Urology, Aarhus University Hospital, Aarhus, Denmark.

出版信息

Andrology. 2025 Jan;13(1):89-100. doi: 10.1111/andr.13536. Epub 2023 Sep 26.

Abstract

BACKGROUND

High parental age is associated with adverse birth and genetic outcomes, but little is known about fecundity in male offspring.

OBJECTIVES

We investigated if high parental age at birth was associated with biomarkers of male fecundity in a large population-based sample of young men.

MATERIALS AND METHODS

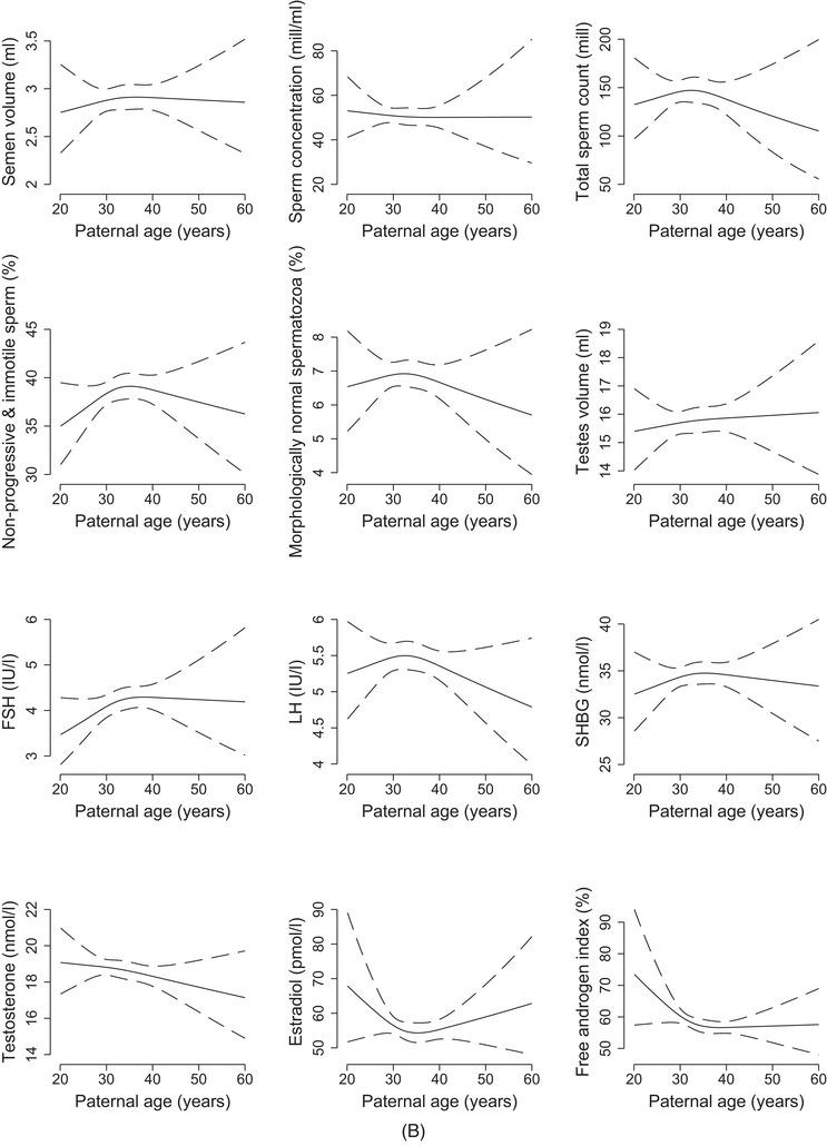
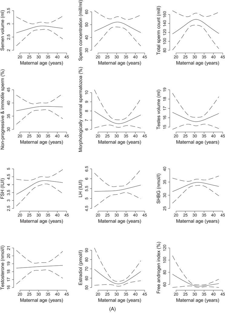
We conducted a study of 1057 men from the Fetal Programming of Semen Quality (FEPOS) cohort, a sub-cohort of sons born 1998-2000 into the Danish National Birth Cohort. Semen characteristics and reproductive hormone concentrations were measured in samples provided by the men 2017-2019. Testis volume was determined by self-measurement. Data on the parental age was drawn from registers. Adjusted relative difference in percentage with 95% confidence intervals were estimated for each outcome according to pre-specified maternal and paternal age groups (< 30 (reference), 30-34 and ≥ 35) as well as for combinations of parental age groups, using multivariable negative binomial regression models.

RESULTS

We did not observe consistent associations between parental age and biomarkers of fecundity, although sons of mothers ≥ 35 years had lower sperm concentration (-15% (95% CI: -30, 3)) and total sperm count (-10% (95% CI: -25, 9)). The analysis with parental age combinations showed lower sperm concentration with high age of the parents (both ≥ 35 years: -27%, 95% CI: -40, -19) when compared to the reference where both parents were below 30 years.

DISCUSSION AND CONCLUSION

We found no strong association between higher parental age and biomarkers of fecundity in young men. However, we cannot exclude poorer semen characteristics in sons born by older mothers or with high age of both parents.

摘要

背景

父母高龄与不良出生及遗传结局相关,但对于男性后代的生育力了解甚少。

目的

我们在一个基于人群的大型年轻男性样本中,研究出生时父母高龄是否与男性生育力生物标志物相关。

材料与方法

我们对精液质量胎儿编程(FEPOS)队列中的1057名男性进行了研究,该队列是1998 - 2000年出生于丹麦国家出生队列的儿子们的一个亚队列。在2017 - 2019年男性提供的样本中测量精液特征和生殖激素浓度。睾丸体积通过自我测量确定。父母年龄数据来自登记处。使用多变量负二项回归模型,根据预先指定的母亲和父亲年龄组(<30岁(参照组)、30 - 34岁和≥35岁)以及父母年龄组的组合,对每个结局估计调整后的相对差异百分比及其95%置信区间。

结果

我们未观察到父母年龄与生育力生物标志物之间存在一致的关联,尽管母亲年龄≥35岁的儿子精子浓度较低(-15%(95%置信区间:-30,3))且总精子数较低(-10%(95%置信区间:-25,9))。父母年龄组合分析显示,与父母均低于30岁的参照组相比,父母年龄均较高(均≥35岁)时精子浓度较低(-27%,95%置信区间:-40,-19)。

讨论与结论

我们发现父母年龄较高与年轻男性生育力生物标志物之间没有强烈关联。然而,我们不能排除母亲年龄较大或父母年龄均较大所生儿子精液特征较差的情况。

https://cdn.ncbi.nlm.nih.gov/pmc/blobs/3697/11635595/325539eb15d5/ANDR-13-89-g003.jpg

文献AI研究员

20分钟写一篇综述,助力文献阅读效率提升50倍。

立即体验

用中文搜PubMed

大模型驱动的PubMed中文搜索引擎

马上搜索

文档翻译

学术文献翻译模型,支持多种主流文档格式。

立即体验