Suppr超能文献

用环 AE105 变体在体内靶向成像 uPAR 表达。

Targeted imaging of uPAR expression in vivo with cyclic AE105 variants.

机构信息

Finsen Laboratory, Copenhagen University Hospital - Rigshospitalet, 2200, Copenhagen N, Denmark.

Biotech Research and Innovation Centre (BRIC), University of Copenhagen, 2200, Copenhagen N, Denmark.

出版信息

Sci Rep. 2023 Oct 11;13(1):17248. doi: 10.1038/s41598-023-43934-w.

Abstract

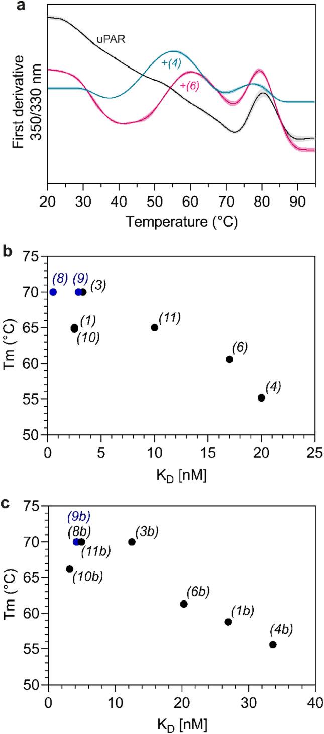
A comprehensive literature reports on the correlation between elevated levels of urokinase-type plasminogen activator receptor (uPAR) and the severity of diseases with chronic inflammation including solid cancers. Molecular imaging is widely used as a non-invasive method to locate disease dissemination via full body scans and to stratify patients for targeted treatment. To date, the only imaging probe targeting uPAR that has reached clinical phase-II testing relies on a high-affinity 9-mer peptide (AE105), and several studies by positron emission tomography (PET) scanning or near-infra red (NIR) fluorescence imaging have validated its utility and specificity in vivo. While our previous studies focused on applying various reporter groups, the current study aims to improve uPAR-targeting properties of AE105. We successfully stabilized the small uPAR-targeting core of AE105 by constraining its conformational landscape by disulfide-mediated cyclization. Importantly, this modification mitigated the penalty on uPAR-affinity typically observed after conjugation to macrocyclic chelators. Cyclization did not impair tumor targeting efficiency of AE105 in vivo as assessed by PET imaging and a trend towards increased tracer uptake was observed. In future studies, we predict that this knowledge will aid development of new fluorescent AE105 derivatives with a view to optical imaging of uPAR to assist precision guided cancer surgery.

摘要

一项全面的文献报告表明,尿激酶型纤溶酶原激活物受体(uPAR)水平升高与慢性炎症相关疾病的严重程度有关,包括实体瘤。分子成像被广泛用作一种非侵入性方法,通过全身扫描定位疾病的传播,并对患者进行靶向治疗分层。迄今为止,唯一达到临床二期测试的针对 uPAR 的成像探针依赖于一种高亲和力的 9 肽 (AE105),几项正电子发射断层扫描 (PET) 扫描或近红外 (NIR) 荧光成像研究已经验证了其在体内的实用性和特异性。虽然我们之前的研究集中在应用各种报告基团上,但目前的研究旨在提高 AE105 对 uPAR 的靶向特性。我们通过二硫键介导的环化来限制其构象景观,成功地稳定了 AE105 的小 uPAR 靶向核心。重要的是,这种修饰减轻了通常在与大环螯合剂缀合后观察到的对 uPAR 亲和力的惩罚。环化没有损害 AE105 在体内的肿瘤靶向效率,如通过 PET 成像评估的那样,并且观察到示踪剂摄取增加的趋势。在未来的研究中,我们预测,这一知识将有助于开发新的荧光 AE105 衍生物,以便光学成像 uPAR,以协助精确引导的癌症手术。

https://cdn.ncbi.nlm.nih.gov/pmc/blobs/3864/10567728/977c66cbc683/41598_2023_43934_Fig1_HTML.jpg

文献AI研究员

20分钟写一篇综述,助力文献阅读效率提升50倍。

立即体验

用中文搜PubMed

大模型驱动的PubMed中文搜索引擎

马上搜索

文档翻译

学术文献翻译模型,支持多种主流文档格式。

立即体验