Suppr超能文献

不同肿瘤部位早发性结肠癌预后列线图的建立与验证:基于人群的研究。

Development and validation of prognostic nomograms for early-onset colon cancer in different tumor locations: a population-based study.

机构信息

Department of Colorectal Surgery, National Cancer Center/National Clinical Research Center for Cancer/Cancer Hospital, Chinese Academy of Medical Sciences and Peking Union Medical College, Beijing, China.

出版信息

BMC Gastroenterol. 2023 Oct 21;23(1):362. doi: 10.1186/s12876-023-02991-1.

Abstract

OBJECTIVE

The prevalence of early-onset colon cancer (EOCC) among individuals below the age of 50 has shown a marked upward trend in recent years. The embryology, clinical symptoms, incidence, molecular pathways, and oncologic outcomes differ between right-sided and left-sided colon cancers. However, the differences have not been fully researched in EOCC. Our study aims to develop and validate prognostic nomograms predicting overall survival (OS) and cancer-specific survival (CSS) for EOCC in different tumor locations based on the Surveillance, Epidemiology, and End Results (SEER) database.

METHODS

Using the SEER database, a total of 5,588 patients with EOCC were extracted and divided into development and validation cohorts in a random allocation ratio of 7:3 across three groups. Univariate and multivariate Cox regression analyses were performed to identify independent prognostic factors influencing OS and CSS outcomes. These factors were then utilized to construct nomogram models. The prognostic capabilities of the three models were assessed through various evaluation metrics, including the concordance index (C-index), receiver operating characteristic (ROC) curves, calibration curves, decision curve analysis (DCA), and validation cohorts respectively. Additionally, survival curves of the low- and high-risk groups were calculated using the Kaplan-Meier method together with the log-rank test.

RESULTS

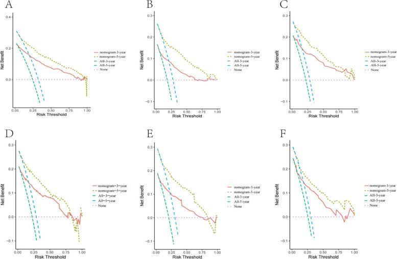
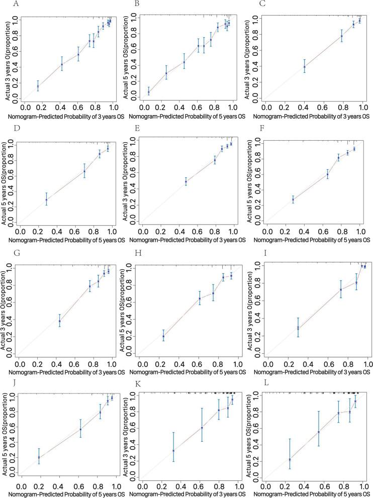
Significant differences in clinical features were observed between right-sided and left-sided EOCCs, particularly in terms of OS (52 months vs 54 months) as demonstrated by Kaplan-Meier curves. Transverse-sided EOCCs exhibited clinical characteristics similar to right-sided EOCCs, suggesting a potential shared tumor microenvironment and therapeutic considerations. Advanced stage, liver metastasis, poor grade, elevated pretreatment carcinoembryonic antigen (CEA) level, chemotherapy, and perineural invasion were identified as independent prognostic factors across all three tumor locations and were incorporated into the nomogram model. Nomograms were constructed to predict the probability of 3- and 5-year OS and CSS. The C-index and calibration plots showed that the established nomograms had good consistency between actual clinical observations and predicted outcomes. ROC curves with calculated area under the curve (AUC) values exceeded 0.8 for all three groups in both the development and validation cohorts, indicating robust predictive performance for OS and CSS. Furthermore, decision curve analysis (DCA) plots revealed a threshold probability range of 0.1 to 0.9, within which the nomogram model exhibited maximum benefit. Kaplan-Meier curves exhibited significant differences between the low- and high-risk groups in EOCC for all three tumor locations in OS and CSS, further validating the prognostic value of the nomogram models.

CONCLUSIONS

We successfully developed three precise nomogram models for EOCCs in different tumor locations, providing valuable support for clinicians in guiding clinical treatments and facilitating further prospective follow-up studies.

摘要

目的

近年来,50 岁以下人群的早发性结肠癌(EOCC)的发病率呈明显上升趋势。右侧和左侧结肠癌在胚胎学、临床症状、发病率、分子途径和肿瘤学结局方面存在差异。然而,EOCC 中这些差异尚未得到充分研究。本研究旨在基于监测、流行病学和最终结果(SEER)数据库,为不同肿瘤部位的 EOCC 开发和验证预测总生存期(OS)和癌症特异性生存期(CSS)的预后列线图。

方法

使用 SEER 数据库,共提取了 5588 例 EOCC 患者,并按照 7:3 的随机分配比例分为开发和验证队列,分为三组。进行单变量和多变量 Cox 回归分析,以确定影响 OS 和 CSS 结果的独立预后因素。然后利用这些因素构建列线图模型。通过各种评估指标,包括一致性指数(C 指数)、接受者操作特征(ROC)曲线、校准曲线、决策曲线分析(DCA)和验证队列,评估三个模型的预后能力。此外,使用 Kaplan-Meier 方法和对数秩检验计算低风险和高风险组的生存曲线。

结果

右侧和左侧 EOCC 之间的临床特征存在显著差异,特别是 OS(52 个月比 54 个月),通过 Kaplan-Meier 曲线显示。横结肠侧 EOCC 的临床特征与右侧 EOCC 相似,提示潜在的共同肿瘤微环境和治疗考虑。所有三个肿瘤部位的独立预后因素均为晚期、肝转移、低分化、术前癌胚抗原(CEA)水平升高、化疗和神经周围侵犯,并纳入列线图模型。构建了预测 3 年和 5 年 OS 和 CSS 的概率的列线图。C 指数和校准图显示,建立的列线图在实际临床观察和预测结果之间具有良好的一致性。ROC 曲线计算得出的曲线下面积(AUC)值在开发和验证队列中均超过 0.8,表明 OS 和 CSS 的预测性能良好。此外,决策曲线分析(DCA)图显示,列线图模型的最佳获益阈值概率范围为 0.1 至 0.9。Kaplan-Meier 曲线显示,所有三个肿瘤部位的 EOCC 在 OS 和 CSS 中,低风险和高风险组之间存在显著差异,进一步验证了列线图模型的预后价值。

结论

我们成功地为不同肿瘤部位的 EOCC 开发了三个精确的列线图模型,为临床医生指导临床治疗提供了有价值的支持,并促进了进一步的前瞻性随访研究。

https://cdn.ncbi.nlm.nih.gov/pmc/blobs/430b/10590526/01d92ac60c25/12876_2023_2991_Fig1_HTML.jpg

文献AI研究员

20分钟写一篇综述,助力文献阅读效率提升50倍。

立即体验

用中文搜PubMed

大模型驱动的PubMed中文搜索引擎

马上搜索

文档翻译

学术文献翻译模型,支持多种主流文档格式。

立即体验